Книга Эмоции и чувства, страница 65 – Евгений Ильин

Авторы: А Б В Г Д Е Ж З И Й К Л М Н О П Р С Т У Ф Х Ч Ш Ы Э Ю Я
Книги: А Б В Г Д Е Ж З И Й К Л М Н О П Р С Т У Ф Х Ц Ч Ш Щ Ы Э Ю Я
Бесплатная онлайн библиотека LoveRead.ec

Онлайн книга «Эмоции и чувства»

📃 Cтраница 65

По поводу неразумного воспитания детей, приводящего к появлению детских страхов, писал и В. М. Бехтерев: «Вряд ли нужно говорить, что эмоция страха особенно вредна для здоровья ребенка, и потому надо избегать всего, что приводит ребенка в испуг и вгоняет в страх. Сколько тяжких нервных страданий, иногда даже неизлечимых, развивается под влиянием испуга в детском возрасте, а между тем все еще распространены забавы с детьми, основанные на испуге ребенка каким-либо внезапным появлением с угрожающими звуками или переодеванием. (…) Вместе с тем следует старательно оберегать ребенка от всех страшных рассказов, например, о бабе-яге, о страшных великанах, о злой и доброй дочке, о медведе с поломанной ногой и т. п. Благодаря таким рассказам, уже рано ребенок начинает страшиться многого, начинает беспокойно спать, тревожимый страшными сонными грезами. Сколько вреда принесли уже разные детские книжки со страшными рассказами, а между тем до сих пор еще не могут их изгнать из употребления в детских» (1997, с. 231—232).

В настоящее время выявлено, что и у маленьких детей незнакомые объекты, в частности люди, могут вызывать страх. Феномен реакции страха на незнакомца привлек внимание ряда западных психологов.

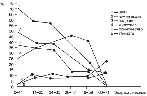
А. Джерсилд и Ф. Холмс (Jersild, Holms, 1935) показали, что в возрасте от одного года до 6 лет постепенно уменьшается боязнь звуков и незнакомых предметов, а страх перед воображаемыми ситуациями в возрасте 5–6 лет заметно усиливается (рис. 7.4). Через полвека было показано, что страх темноты, боязнь одиночества, чужих людей и незнакомых предметов стали появляться в более раннем возрасте (Draper, Jamеs, 1985).

Иллюстрация к книге — Эмоции и чувства [i_033.jpg]

Рис. 7.4. Стимулы, вызывающие страх у детей до 6 лет.


По данным П. С. Зобова (1983), в дошкольном возрасте мнимые (выдуманные, фантастические) страхи преобладают над реальными, в содержании которых фигурируют фантастические образы из прочитанных сказок, фильмов ужасов и т. п.; в последующие годы значимость мнимых опасностей снижается, а реальных – возрастает.

Среди реальных страхов в дошкольные годы первое место занимает боязнь воды. Второе место занимает страх, вызванный угрозой нападения животных, третье – боязнь падения с большой высоты и боязнь дорожно-транспортных происшествий.

Школьники младших и средних классов чаще всего отмечают реальные опасности, затем – мнимые. Имеют место и престижные опасности. Из реальных страхов преобладают боязнь воды и высоты, боязнь животных, опасения за здоровье родных и близких. Среди мнимых страхов выделяются боязнь темноты и недовольства взрослых. Из престижных страхов называются боязнь получения плохой отметки, выступления перед большой аудиторией и др. Это подтверждается и данными Н. К. Сурогиной (1998): у школьников 7–9 лет в 72% случаев присутствуют страхи, связанные со школой и обучением, в 53% – с неуверенностью в отношениях с учителем. Это свидетельствует о наличии дистанции между учителем и учениками, отсутствии между ними полноценного контакта, о недостатке или отсутствии у преподавателей интереса к детям.

В старшем школьном и студенческом возрасте на первое место выходят престижные опасности, затем реальные и только потом – мнимые. Из престижных опасностей больше всего боятся неудачи на экзаменах и контрольных, одиночества, безразличия со стороны товарищей, выступления перед большой аудиторией. Из реальных страхов преобладают тревога за здоровье или потерю родных и близких, страх перед хулиганами, бандитами, страх перед большой высотой, страх войны и др. Мнимые опасности связаны с насекомыми, мышами, крысами, медицинскими процедурами. Отмечается боязнь покойников, вида крови, новой обстановки, темноты. Девушки отмечают мнимые опасности в шесть раз чаще, чем юноши.

А. И. Захаров (1995) выявил существенное увеличение количества страхов в преддошкольном возрасте (рис. 7.5). При этом у девочек количество страхов больше, чем у мальчиков.

Иллюстрация к книге — Эмоции и чувства [i_034.jpg]

Рис. 7.5. Количество страхов у детей разного возраста.


У взрослых, по данным Захарова, из детских страхов остаются страхи высоты (больше у мужчин) и смерти родителей (больше у женщин). У женщин в значительно большей степени выражены также страх войны, сделать что-либо неправильно или не успеть (в отношении последнего случая я бы предпочел говорить о тревоге, а не о страхе). По данным американских авторов, наибольшее число тех, кто боится змей, высоты, грозы, социальных ситуаций и закрытого пространства отмечается среди 20-летних молодых людей. Наибольшее количество лиц, которые боятся толпы, травмы, смерти, болезни, одиночества, наблюдается в возрасте 60 лет, а наибольшее количество людей, которые боятся уколов, врачей, темноты, незнакомых людей, наблюдается в 10 лет (Р. Комер, 2002).

В. В. Зеньковский (1924) приводит данные Стенли Холла, который показал, что у лиц женского пола в возрасте 4–28 лет количество страхов больше, чем у лиц мужского пола. Особенно заметны эти различия в 4 года и в 18 лет.

Что касается лицевой экспрессии страха и ее различения от других негативных эмоций, то у младенцев одни и те же индикаторы могут свидетельствовать как о страхе, так и о страдании. Отчетливые различия в мимике этих состояний появляются у более старших детей.

Преодоление страха. Игнорирование этого эмоционального состояния, равно как и высмеивание, скорее всего, даст отрицательный результат. Разумнее признать наличие у человека страха и помочь ему преодолеть его, показывая, что нет никаких реальных причин для его возникновения.

Для снятия страха может использоваться психотерапевтический метод, называемый десенсибилизацией, основанный на классическом обусловливании; он осуществляется поэтапно с постепенным наращиванием интенсивности стимульного воздействия.

Страх у детей чаще всего проявляется при катании на коньках, спуске с горок на лыжах, при освоении езды на велосипеде и т. п. Поэтому разработан ряд приемов, помогающих преодолеть страх при выполнении двигательных действий спортивного характера. По В. Г. Темпераментовой (1982), такими приемами являются:

– постепенное повышение сложности препятствий, которые нужно преодолеть;

– расчленение сложных действий на части и выполнение их в облегченных условиях (на полу, на невысокой опоре);

– разучивание специальных и подготовительных действий, создающих уверенность в выполнении и основного действия;

– обеспечение страховки на первом этапе разучивания действия;

– приведение в пример других детей, легко выполнивших данное действие;

– исключение нетактичных замечаний с подчеркиванием боязни ребенка;

– ободрение ребенка, внушение ему уверенности в том, что он сумеет выполнить данное действие.

Для преодоления страха используют также психорегулирующую тренировку, внушенный сон, медикаментозные средства.

Вход
Поиск по сайту
Ищем:
Календарь