Книга Эмоции и чувства, страница 165 – Евгений Ильин

Авторы: А Б В Г Д Е Ж З И Й К Л М Н О П Р С Т У Ф Х Ч Ш Ы Э Ю Я
Книги: А Б В Г Д Е Ж З И Й К Л М Н О П Р С Т У Ф Х Ц Ч Ш Щ Ы Э Ю Я
Бесплатная онлайн библиотека LoveRead.ec

Онлайн книга «Эмоции и чувства»

📃 Cтраница 165
Иллюстрация к книге — Эмоции и чувства [i_103.jpg]

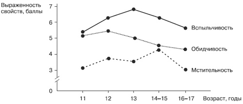
Рис. 16.3. Возрастная динамика эмоциональных свойств личности.


Самооценка вспыльчивости выше всего была у школьников 13 лет, обидчивости – у школьников 12 лет, а мстительности – у школьников 14—15 лет.

Подводя итог возрастных изменений эмоциональной сферы, можно отметить следующие моменты:

1) увеличение количества эмоциогенных объектов, особенно имеющих социальный характер;

2) возрастание дифференцированности эмоциональных переживаний;

3) возникновение эмоциональных переживаний не только по поводу настоящего, но и по поводу будущего;

4) появление способности отрывать экспрессивные средства от переживаний;

5) увеличение способности понимания эмоций других людей;

6) переход эмоциогенных реакций от импульсивности к произвольности.

16.9. Особенности эмоциональной сферы лиц пожилого возраста

В этом разделе дается краткое изложение фрагмента книги Т. А. Немчина (1987) и обзорной статьи М. В. Ермолаевой (1999), в которых рассмотрены особенности эмоциональной сферы лиц пожилого возраста.

Т. А. Немчин общие изменения в эмоциональной сфере пожилого человека характеризует следующими признаками: изменение динамичности эмоциональных состояний, выражающееся либо в инертности, либо в лабильности эмоций; возрастание роли и места, занимаемого отрицательными эмоциями; высокая устойчивость высших эмоций, в том числе эмоций, связанных с индивидуальным творчеством. В пожилом возрасте значительно уменьшается контроль за проявлением эмоций (смех, радость, печаль), нередко наблюдается и противоположное явление – эмоциональная черствость, снижение эмпатийности.

К частным признакам эмоциональной сферы у пожилых людей Т. А. Немчин относит устойчивое преобладание той или иной модальности переживаний: тревоги, грусти, раздраженного недовольства. Однако имеется большая категория лиц, у которой до глубокой старости сохраняются оптимистическое настроение, бодрость духа.

Многие особенности эмоциональной сферы лиц пожилого возраста обусловлены изменением их социальной роли в обществе в связи с уходом на пенсию, с необходимостью адаптации к новым условиям жизни. У одних это вызывает появление негативных эмоциональных переживаний, у других – позитивных, когда человек радуется тому, что наконец-то он может свободно распоряжаться своим временем и посвятить себя делам, которые его интересуют. Люди, не желавшие выходить на пенсию, первое время чувствуют неудовлетворение, испытывают горечь и раздражение. Однако через некоторое время они приходят в себя, и их отношение к своему новому положению становится таким же, как и у людей, стремившихся выйти на пенсию (Levy, 1978).

Знак эмоциональных переживаний в значительной мере определяется выбираемой пенсионером стратегией своего приспособления к новой жизни – сохранения себя как личности с социальными связями с обществом или как индивида, замыкающегося в рамках своей семьи и самого себя. Многое зависит и от оценки человеком своего жизненного пути. Как отмечает Э. Эриксон (1996), если человек убежден, что жизнь его состоялась, то он уравновешен и спокойно смотрит в будущее, но если жизнь оценивается как прожитая зря, то человека настигает чувство бессилия что-либо исправить, увеличиваются отчаяние и страх смерти.

У пожилых людей часто возникают дружеские, любящие отношения с внуками, отчего последние являются для первых одной из самых больших радостей (Cherlin, Furstenberg, 1986).

Изменения эмоциональной сферы связаны как с физическим, так и психическим состоянием человека. Неспособность пожилого человека что-либо сделать для других вызывает у него чувства зависти и вины, которые впоследствии прорастают равнодушием к окружающим (Смит, 1995), безучастным отношением к своему настоящему и будущему (Милентьев с соавторами, 1996), к снижению эмоционального контроля (старики получают большое удовольствие от рассказов о своих болезнях, не замечая, что становятся назойливыми). В то же время у них возрастает обидчивость (Альперович, 1997). Безразличие стариков расценивается геронтологами и психиатрами как способ защиты от сильных переживаний (в том числе – и положительных), которые могут сократить годы жизни. В частности, возникающая старческая депрессия, проявляющаяся в ослаблении эмоционального тонуса, замедлении эмоциональной живости, отставленности аффективных реакций, обедненности мимики, связана с тем, что, не видя ничего хорошего в будущем, пожилые люди перестают связывать с ним свои планы и тем самым страхуют себя от возможных разочарований. Показано, например, что тенденция к необоснованному оптимизму оказывает негативное влияние на продолжительность жизни в старости (Kalish, 1979).

Для лиц пожилого возраста характерна хроническая озабоченность, которая может рассматриваться как слабо выраженная тревога. Старики озабочены своим здоровьем, будущим своих детей и внуков, политическим и экономическим положением страны (Альперович, 1997; Шахматов, 1996).

С другой стороны, у пожилых возникает чувство одиночества. Понимая, что их поведение часто бывает неадекватным, они отказываются от общения, все больше уходят в себя. Когда переживание одиночества приобретает у них устойчивый характер, они начинают винить в этом себя, что увеличивает риск глубокой депрессии (Пепло и др., 1989). Переживание одиночества перерастает со временем в ощущение необъяснимого страха, сильного беспокойства, отчаяния. Социальные контакты, которые пожилые люди сами не могут регламентировать, не приносят им удовлетворения, но порождают неприятное ощущение зависимости (Рук, Пепло, 1989). Последнее переживается особенно остро. Ощущение беспомощности, зависимости является тем фактором, который позволяет пожилым людям оценивать этот возраст как несчастье и позор.

Пожилые люди испытывают меньшую тревогу при мысли о смерти, чем относительно молодые (Kastenbaum, 1986), многие из них думают о смерти часто, но с поразительным спокойствием. Только 10% пожилых в одном из опросов ответили, что боятся умереть (Jeffers, Verwoerdt, 1977). Больше всего мысли о смерти беспокоят тех пожилых, кто имеет планы на будущее.

16.10. Половые различия в эмоциональной сфере

Фактор пола в отношении эмоциональной сферы человека рассматривается во многих работах и в различных аспектах. Например, отмечаются стереотипы в восприятии и проявлении мужской и женской эмоциональности (женщины «имеют право» на выражение своих эмоций, а мужской стереотип поведения должен соответствовать сдерживанию эмоциональных проявлений). Эмоции делят на «мужские» (гнев, гордость и презрение) и «женские» (страх, тревога, печаль, смущение, стыд) (Fischer, 1993; Siegel, Alloy, 1990). Во многих исследованиях выявлено, что женщины превосходят мужчин и по склонности к плачу, и по частоте, интенсивности и длительности его проявления (Vingerhoets, Scheirs, 2000). Женщины больше, чем мужчины, стыдятся (Ferguson, Eyre, 2000). Соответственно, эмоциональные особенности закладываются в образы маскулинности и фемининности: женщины считаются более эмоциональными, чем мужчины. Например, отмечается, что cо второго года жизни девочки показывают более высокие уровни эмпатии, стыда и вины, чем мальчики (Zahn-Waxler et al., 1991). У девочек раньше появляется сензитивность к мимическому или паралингвистическому выражению эмоций других людей. Так, при выражении матерью страха годовалые девочки прекращают играть с игрушкой, а мальчики продолжают (Rosen et al., 1992).

Вход
Поиск по сайту
Ищем:
Календарь