Книга Тренажер ума и памяти. Суперметодики спецслужб, страница 17 – Антон Могучий

Авторы: А Б В Г Д Е Ж З И Й К Л М Н О П Р С Т У Ф Х Ч Ш Ы Э Ю Я
Книги: А Б В Г Д Е Ж З И Й К Л М Н О П Р С Т У Ф Х Ц Ч Ш Щ Ы Э Ю Я
Бесплатная онлайн библиотека LoveRead.ec

Онлайн книга «Тренажер ума и памяти. Суперметодики спецслужб»

📃 Cтраница 17
Иллюстрация к книге — Тренажер ума и памяти. Суперметодики спецслужб [i_019.jpg]

2. Числители увеличиваются на 3, 4, 5, 6, а знаменатели увеличиваются на 4, 5, 6, 7.

Иллюстрация к книге — Тренажер ума и памяти. Суперметодики спецслужб [i_020.jpg]

3. Каждый следующий числитель больше предыдущего в три раза. Каждый знаменатель равен числителю плюс соответственно 1, 2, 3, 4, 5.


Упражнения для развития пространственного интеллекта

Упражнение «Комната»

Закройте глаза и представьте себе вашу комнату – ту, где вы живете, или работаете, или просто бываете, но которую знаете, как вам кажется, достаточно хорошо. Представьте все то, что в ней находится. Мысленно пройдите по комнате вдоль всех ее стен и вспомните каждую мелочь. Как вам кажется, вы достаточно хорошо представляете себе размеры предметов и их расположение? Удается ли вспомнить и представить детали и подробности – книги на полке, статуэтки, рисунок обоев и т. д. А размер самой комнаты вы представляете себе достаточно точно или в вашем воображении она больше либо меньше, чем есть на самом деле?

Если вы сейчас в этой комнате, откройте глаза и проверьте, все ли вы точно себе представили. Затем снова закройте глаза и нарисуйте в своем воображении уже уточненную и исправленную картину.

Если вы в другом месте, выполните такие сравнения и уточнения при первой возможности.

Упражнение «Вращение фигур»

Мысленно вращая эти фигуры вокруг своей оси, определите, какую из них нельзя наложить на другие.

Иллюстрация к книге — Тренажер ума и памяти. Суперметодики спецслужб [i_021.jpg]

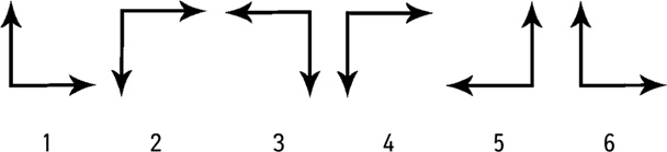
Упражнение «Верное направление»

Найдите лишнюю пару стрелок, не соответствующую по своему направлению остальным.

Иллюстрация к книге — Тренажер ума и памяти. Суперметодики спецслужб [i_022.jpg]

Упражнение «Взаимоотношения фигур»

Найдите нужную фигуру из четырех пронумерованных, расположенных ниже.

Иллюстрация к книге — Тренажер ума и памяти. Суперметодики спецслужб [i_023.jpg]

Упражнение «Нарушенный порядок»

В каждом из рядов фигур найдите одну, которая нарушает общий порядок

Иллюстрация к книге — Тренажер ума и памяти. Суперметодики спецслужб [i_024.jpg]

Упражнение «Знакомый маршрут»

Наверняка у вас есть какой-то знакомый маршрут – достаточно длинный и сложный, с несколькими поворотами, – которым вы следуете по дороге на работу, на дачу или хотя бы в магазин. Возьмите бумагу, ручку и карандаш и схематически изобразите этот маршрут в масштабе. Старайтесь точно обозначить все повороты, соблюсти пропорции в протяженности разных отрезков дороги относительно друг друга. Если есть возможность, сверьте ваш рисунок с картой и отметьте, насколько вы оказались точны. Если маршрут пешеходный и недлинный, проверьте точность вашего рисунка, когда снова пойдете по нему.

Представьте, что вы снова идете или едете этим маршрутом. Представьте все, что вы обычно видите по обеим сторонам дороги. Постарайтесь воспроизвести в своем воображении все как можно точнее и детальнее. При первой возможности опять же проверьте, все ли правильно запомнили.

Упражнение «Глазами разведчика»

Найдите немного времени, чтобы прогуляться по любой улице или другой местности и представить, как бы вы вели себя, если бы были разведчиком и обнаружили слежку. Заметьте все повороты, боковые улочки, куда можно было бы свернуть, деревья, киоски и другие объекты, за которыми можно было бы спрятаться, остановки транспорта, где можно было бы неожиданно войти в автобус или трамвай. Разработайте свою стратегию ухода от слежки и отработайте ее на местности.

Ответы

Упражнение «Вращение фигур»

Это фигура номер 3. Она является зеркальным отражением прочих, а потому при наложении не совпадет с другими.


Упражнение «Верное направление»

Фигура 4 (все остальные относительно друг друга поворачиваются на 90 градусов по часовой стрелке, а эта против часовой стрелки).


Упражнение «Взаимоотношения фигур»

Фигура под номером 1 (основной элемент фигуры перевернут, квадрат перемещен на другую сторону).


Упражнение «Нарушенный порядок»

В первом ряду нарушает порядок фигура Г. Остальные фигуры демонстрируют вращение большого шара по часовой стрелке и маленького шарика на нем – против часовой стрелки. Каждый следующий рисунок показывает смещение большого шара и маленького шарика на четверть оборота – каждого в свою сторону. Тогда как у фигуры Г большой шар возвращается в позицию фигуры Б, а маленький шарик «проскакивает» сразу пол-оборота.

Во втором ряду порядок нарушает фигура Б. Остальные фигуры – это одна и та же фигура, просто данная во вращении. Они совпадут, если их повернуть и наложить одна на другую. Тогда как фигура Б является зеркальным отражением остальных и не совпадет при наложении.

В третьем ряду порядок нарушает фигура В: все остальные фигуры, кроме нее, представляют собой замкнутый контур.

Глава 4. Аналитическое мышление. Научитесь извлекать максимум информации из любого факта
Как найти иголку в стоге сена

Что такое аналитическое мышление? В сущности это способ извлечения максимума информации из любых, даже кажущихся незначимыми, фактов. Незаменимое качество для разведчика! Можно привести множество примеров, когда операции спецслужб заканчивались успехом только благодаря тщательному сбору информации и анализу фактов. Остановимся лишь на одном из них, довольно характерном.

В 1985 году Комитетом госбезопасности Советского Союза был разоблачен и арестован сотрудник одного из московских НИИ Адольф Толкачев, оказавшийся агентом американской разведки. Как спецслужбы вышли на него? Началось с анализа публикаций американской прессы, из которых следовало, что США известно о ведущихся в СССР закрытых работах в области радиоэлектронной оснащенности современных боевых самолетов. Причем там приводились такие технические характеристики, которые невозможно было получить методами разведки (перехватом служебных переговоров и т. п.). Эти сведения могло передать только конкретное лицо.

Вход
Поиск по сайту
Ищем:
Календарь