Книга Sapiens. Краткая история человечества, страница 69 – Юваль Ной Харари

Авторы: А Б В Г Д Е Ж З И Й К Л М Н О П Р С Т У Ф Х Ч Ш Ы Э Ю Я
Книги: А Б В Г Д Е Ж З И Й К Л М Н О П Р С Т У Ф Х Ц Ч Ш Щ Ы Э Ю Я
Бесплатная онлайн библиотека LoveRead.ec

Онлайн книга «Sapiens. Краткая история человечества»

📃 Cтраница 69

Все современные попытки стабилизировать социально-политический порядок вынужденно сводятся к одному из двух далеких от науки методов.

А. Взять научную теорию и вопреки общепринятой научной практике объявить ее окончательной и абсолютной истиной. Этот метод применяли нацисты (которые провозгласили свою расовую политику продолжением безупречной биологической теории) и коммунисты (убежденные в абсолютности и неопровержимости экономических открытий Маркса и Ленина).

Б. Оставить науку в покое и жить в соответствии с ненаучной абсолютной истиной. Такова стратегия либерального гуманизма, который стоит на догматической вере в уникальное достоинство и права человека — учении, имеющем чрезвычайно мало общего с наукой о Homo sapiens.

Но чему тут удивляться? Ведь и наука вынуждена полагаться на религиозные и идеологические убеждения — в них она черпает оправдания, благодаря им получает финансирование.

Современная культура согласилась признать свое невежество в гораздо большей степени, чем все прежние. Один из существенных факторов, сохраняющих современный социальный уклад, — распространенность почти религиозной веры в технологии и в методы научного исследования. Отчасти эта вера заменила собой религию абсолютных истин.


НАУЧНАЯ ДОГМА

У современной науки нет догмы. Но есть общий набор методов, предписывающих собирать эмпирические данные (воспринимаемые хотя бы одним из органов чувств), анализировать и связывать с помощью математических инструментов.

На всем протяжении своей истории люди регистрировали эмпирические наблюдения, но ценность их была невысока, поскольку люди верили, что все действительно нужное знание человечеством уже получено от Иисуса, Будды, Конфуция или Мухаммеда. Из века в век важнейшим способом приобрести знания считалось изучение и исполнение имеющейся традиции. Зачем тратить драгоценные ресурсы на новые наблюдения, если нам уже даны все ответы?

Когда же современная культура признала, что не располагает ответами на многие вопросы, пришлось искать совершенно новые знания. В результате современные методы исследования отталкиваются от заведомой неполноты прежних знаний. Акцент сместился с изучения древних традиций на новые наблюдения и эксперименты и, если новые наблюдения противоречили традиции, предпочтение отдавалось новым наблюдениям. Разумеется, физики, занимающиеся спектральным анализом излучения дальних галактик, археологи, исследующие находки на месте поселений бронзового века, и историки, разбирающиеся в истоках капитализма, не пренебрегают традицией. Они начинают как раз с изучения того, что говорили или писали мудрецы прошлого. Но на первом же курсе университета физиков, археологов и специалистов по социальным наукам учат: они обязаны пойти дальше Эйнштейна, Шлимана и Вебера.

* * *

Наблюдения сами по себе не есть знания. Чтобы разобраться в тайнах вселенной, нужно соединить наблюдения в последовательные теории. Древние люди формулировали теории в форме мифологических сюжетов. Современная наука предпочитает язык математики.

В Библии, Коране, Ведах, работах Конфуция мы не найдем уравнений, графиков и формул. Когда традиционные мифологии и писания излагают общие законы мироздания, они прибегают к нарративу, а не к математике. Так, основная идея манихейства — мир есть поле боя между добром и злом. Злая сила сотворила материю, а добрая создала дух. Люди вовлечены в эту борьбу и должны поддерживать добрую силу против злой. Однако пророк Мани обошелся без математических формул, которые позволили бы предсказать выбор человека, сопоставив силы сторон. Он не вычислял: «сила, действующая на человека, равна ускорению его духа, деленному на массу его тела».

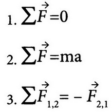
Но именно такими вычислениями заняты ученые. В 1687 году Исаак Ньютон опубликовал «Математические начала натуральной философии», возможно, главную книгу современной эпохи. В этой работе Ньютон представил общую теорию движения и изменения. Величие теории Ньютона заключается в способности объяснять и предсказывать движение всех тел во вселенной, от падающих с дерева яблок до комет, на основании трех простых математических законов:

Иллюстрация к книге — Sapiens. Краткая история человечества [i_060.jpg]

Каждый, кто желает понять и предсказать движение пушечного ядра или планеты, должен лишь узнать массу объекта, направление движения и то, какие силы действуют на объект, вызывая ускорение. Подставив эти числа в уравнения Ньютона, можно предсказать будущее положение объекта. Это казалось чудом; лишь под конец XIX века ученые натолкнулись на некоторые наблюдения, не укладывавшиеся в законы Ньютона, что привело к очередной революции в физике — появлению теории относительности и квантовой механики.

* * *

Ньютон доказал, что книга природы написана языком математики. Некоторые ее главы достаточно просты и сводятся к четким уравнениям. Но есть страницы и посложнее. Ученые, пытавшиеся свести к аккуратным уравнениям биологию, экономику и психологию, обнаружили в этих областях знания такой уровень сложности, который формулам не поддавался. Но от математических методов никто не отказался, в итоге за последние двести лет развилось новое направление математики, способное справляться со сложными аспектами реальности: статистика.

В 1744 году два шотландских священника-пресвитерианца, Александр Вебстер и Роберт Уоллес, задумали основать страховой фонд, чтобы обеспечить пенсией вдов и сирот священнослужителей. Идея заключалась в том, чтобы все священники вносили небольшую часть своего дохода в фонд, деньги вкладывались в ценные бумаги и, если кто-то из вкладчиков умирал, его вдова получала от фонда дивиденды, на которые могла безбедно жить до конца своей жизни. Но, чтобы подсчитать, какую сумму должен заплатить каждый священник, чтобы фонд мог выполнять взятые на себя обязательства, Вебстеру и Уоллесу нужно было предвидеть, сколько священников будет умирать ежегодно, сколько останется вдов и сирот и на сколько лет вдовы переживут мужей.

Так вот, заметьте, чего эти двое священников делать не стали: они не молились Богу, прося подсказать ответ. И не искали ответа в Священном Писании и в трудах древних богословов. Не затевали философских диспутов. Они поступили как практичные шотландцы: обратились к профессору математики Эдинбургского университета Колину Маклорину. Втроем они собрали данные об умерших священниках, уточнили, в каком возрасте они скончались, и вычислили, сколько примерно священников будет уходить в лучший мир каждый год.

Этот труд опирался на очередной прорыв в области статистики и теории вероятности. Одним из важнейших открытий стал закон больших чисел Якоба Бернулли. Бернулли установил принцип, согласно которому хотя единичное событие — смерть конкретного человека — прогнозировать трудно, зато с большой точностью можно предсказать исход многих схожих событий. Иными словами, Маклорин не мог предсказать, умрут ли Вебстер и Уоллес в ближайшем году, но сумел достаточно верно вычислить, скольких пресвитеранских священников недосчитается Шотландия. К счастью, эти трое располагали уже собранными данными и могли использовать их в подсчетах. Особенно пригодились страховые таблицы, опубликованные еще полувеком ранее Эдмондом Галлеем. Галлей проанализировал записи о 1238 рождениях и 1174 смертях из архива немецкого города Бреслау и составил таблицы, из которых следовало, что, например, вероятность смерти в текущем году двадцатилетнего человека составляет 1:100, а пятидесятилетнего — 1:39.

Вход
Поиск по сайту
Ищем:
Календарь