Книга Библия триатлета, страница 23 – Джо Фрил

Авторы: А Б В Г Д Е Ж З И Й К Л М Н О П Р С Т У Ф Х Ч Ш Ы Э Ю Я
Книги: А Б В Г Д Е Ж З И Й К Л М Н О П Р С Т У Ф Х Ц Ч Ш Щ Ы Э Ю Я
Бесплатная онлайн библиотека LoveRead.ec

Онлайн книга «Библия триатлета»

📃 Cтраница 23

Контроль пульса заставляет спортсменов сконцентрироваться на своем сердце, однако их уровень физической подготовки в гораздо большей степени зависит от других мускулов, особенно при работе с интервалами. Ведь как хорошо начать заниматься с правильной интенсивностью с первых минут тренировки или с самых первых интервалов в ходе упражнения. Мы не можем в полной мере полагаться на ЧСС – этот показатель меняется с задержкой в несколько минут. Инструменты же, измеряющие мощность, определяют уровень интенсивности мгновенно.

Использование инструментов для измерения мощности в ходе такой длинной гонки, как Ironman, может на первый взгляд приравниваться к своего рода мошенничеству. Когда остальные участники велогонки борются со встречным ветром или пытаются использовать силу попутного, стараются мысленно рассчитать усилия для заезда на холм, триатлет с инструментом измерения мощности просто катится вперед с заранее заданным уровнем мощности. Это позволяет ему обеспечить оптимальный результат в велосипедной части соревнования и сберечь достаточно энергии на будущее. И все потому, что спортсмен смог определить в ходе тренировок оптимум мощности и пытается соответствовать ему на протяжении всей гонки. Хотя вы можете провести нечто подобное, взяв за основу показатель ЧСС, помните о возможном влиянии противодействующих факторов – стимулировании сердечной деятельности с помощью медицинских препаратов, влиянии диеты на ритм сердцебиения и замедленную ответную реакцию сердца при движении в гору. Инструменты измерения мощности также помогают создать точную картину изменения физической формы в течение всего сезона. Я регулярно тестирую подопечных спортсменов с помощью комбинации ЧСС и мощности. При отсутствии этой информации я никогда не был бы уверен в том, достигают ли они прогресса. Мне бы оставалось лишь гадать.

К сожалению, инструменты для измерения мощности недешевы. Но так же как в случае с любой современной техникой, цены на них со временем начинают падать, а количество предлагаемых опций повышается. Со временем они станут более доступными (как это произошло с мониторами ЧСС), и в результате спортсмены смогут показывать более высокие результаты на гонках. Если вы стоите перед выбором, купить колеса получше или инструмент для измерения мощности, я рекомендую выбрать второй вариант. Обладание этим устройством даст вам очень много.

Тренировка с использованием показателей мощности, так же как тренировка с заданным темпом, уровнем воспринимаемого напряжения или монитором ЧСС, позволит вам определить тренировочные зоны на основании своих личных параметров. Следующая глава расскажет о том, каким образом определить основные зоны, связанные с мощностью.

Уровень лактата в крови

Итак, если ПАНО столь важен в качестве показателя интенсивности, то почему бы не заняться измерением уровня лактата в крови? До недавнего времени не представлялось возможным измерять его в условиях реальных занятий – в бассейне или на дороге: все доступное оборудование требовало подключения к электрической сети. Вдобавок оно было дорогостоящим, неудобным и годилось скорее для лабораторных условий. В наши дни появились новые устройства по измерению уровня лактата, стало возможным отправить анализ по почте и быстро получить его результат. Все, что вам требуется, – это капля крови, которую вы можете взять из пальца или ушной мочки. И все же подобное тестирование остается достаточно сложным: чтобы успешно пользоваться его результатами, нужен опытный лаборант или тренер. Я бы не рекомендовал этот способ спортсменам, тренирующимся самостоятельно.

Измерение уровня лактата не позволяет получить моментальные результаты (в отличие от измерений мощности, темпа и уровня воспринимаемого напряжения), так как для забора крови и ее анализа потребуется по меньшей мере несколько минут. К тому же анализы стоят денег. С учетом необходимой частоты измерений этот метод довольно непрактичен даже при наличии портативного анализатора. Поэтому замеры лучше всего делать в качестве дополнительного теста, к примеру, для уточнения величины ПАНО, оценки улучшений или определения наиболее экономичного и производительного метода движения на велосипеде.

Время тренировки в разбивке по зонам интенсивности

Сколько времени следует проводить в каждой зоне ЧСС в течение сезона? Спортсмены часто задают мне этот вопрос, и для этого у них есть веская причина: знание ответа позволяет сделать тренировки осмысленными и эффективными. Но ответить на этот вопрос, к сожалению, не так-то просто.

Уровень интенсивности, на который вы должны нацеливаться в ходе тренировки, зависит от множества переменных. Самая главная из них – это старт, ради которого вы тренируетесь. Между тренировками перед длительными соревнованиями типа Ironman и тренировкой перед соревнованием спринтеров огромная разница. Если мы принимаем на вооружение концепцию пяти основных зон ЧСС, то проблема сразу становится очевидной. Подготовка к спринтерской дистанции требует тренировок на уровне, близком к ПАНО, что совершенно не подходит для подготовки к соревнованиям типа Ironman, требующим большого объема работы на уровне, близком к аэробному порогу. Очевидно, что никто не сможет подготовиться к обоим видам соревнований, тренируясь с одной и той же интенсивностью.

В целом непросто сказать, сколько времени триатлет должен проводить в каждой зоне на протяжении сезона, даже если мы досконально изучим четыре наиболее распространенные дистанции в триатлоне – спринт, олимпийскую, Half-Ironman и Ironman. Причина заключается в том, что некоторые спортсмены способны пройти спринтерскую гонку менее чем за час, а другие при тех же условиях сделают это за три часа или более. Вне зависимости от расстояния подготовка к событию, занимающему один час, значительно отличается от подготовки к событию, продолжительность которого часом не ограничивается.

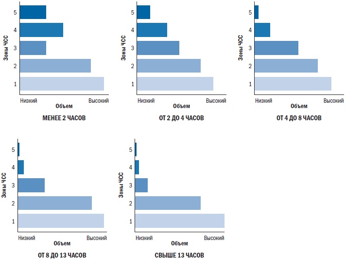
Помните об этом, изучая рис. 4.3. На нем изображено примерное распределение времени тренировок по зонам ЧСС на протяжении всего сезона. Цель этого рисунка состоит не в том, чтобы дать вам конкретные цифры. Скорее она заключается в том, чтобы предложить вам примерный метод распределения интенсивности в ходе тренировочного процесса. Если вы будете знать, каким образом интенсивность тренировок по зонам должна быть распределена к моменту окончания сезона, то это поможет вам решить, сколько усилий нужно приложить к тому или иному упражнению.

Иллюстрация к книге — Библия триатлета [i_017.jpg]

Рис. 4.3. Объем тренировок для соревнований по триатлону


Если бы мы могли создать некую кривую распределения для самостоятельно занимающихся спортсменов, то обнаружили бы, что многие из них тратят больше времени на работу в верхних зонах при разной продолжительности тренировок (см. рис. 4.3), что вряд ли можно считать правильным. Большинство спортсменов берут на себя в ходе тренировок слишком много. Именно по этой причине в триатлоне так часты травмы, перетренированность, болезни и истощение.

Измерение уровня физической подготовки

Пришло время объединить несколько концепций интенсивности, описанных в этой главе, – аэробный порог, ЧСС, темп и мощность. Все они вступают в игру в тот момент, когда вам требуется определить, достаточно ли проведенных на уровне аэробного порога тренировок для того, чтобы считать этот аспект физической подготовки завершенным.

Реклама
Вход
Поиск по сайту
Ищем:
Календарь