Книга Чудо-мальчик, страница 35 – Ким Ён Су

Авторы: А Б В Г Д Е Ж З И Й К Л М Н О П Р С Т У Ф Х Ч Ш Ы Э Ю Я
Книги: А Б В Г Д Е Ж З И Й К Л М Н О П Р С Т У Ф Х Ц Ч Ш Щ Ы Э Ю Я
Бесплатная онлайн библиотека LoveRead.ec

Онлайн книга «Чудо-мальчик»

📃 Cтраница 35

С какого времени я полюбила его? Может быть, это случилось, когда я училась в шестом классе? А может быть, тогда, когда мы с матерью стояли перед универмагом «Хвасин» и ждали автобус, и он, узнав ее, поздоровался, а затем пошел вместе с друзьями дальше по дороге.

Он был старше меня на три года и тогда учился в девятом классе. Я до сих пор помню, как моя мать с беспокойством на лице спросила его: «Как поживает твой отец?» Я помню даже тот шелестящий звук, который раздавался каждый раз, когда двигалось пятно на рукаве ханбока, который в тот день надела мать. Когда он услышал вопрос, его лицо сразу потемнело, он ответил, что отец дома.

Расставшись с ним, мы ехали с матерью в автобусе, она сказала, что их семья стала бедствовать с тех пор, как его отец оставил издательство. Мне было любопытно, почему издательство уволило такого хорошего журналиста, но мать настаивала, что она не знает причины. На самом деле она знала, но предпочла промолчать. Лишь позже я выяснила, что его отца уволили за то, что он выступал за предоставление СМИ свободы слова.

В тот день я услышала от матери, что, возможно, именно поэтому он решил участвовать в «Студенческой викторине», которая предлагала участникам шанс получить стипендию. Говорят, что его отец везде ходил, с гордостью повторяя: «Вы можете представить, насколько у меня умный сын», хотя речь шла всего лишь о решении выступить на TB-викторине, чтобы заработать денег на оплату обучения. Без этой суммы он не мог посещать занятия.

О том, что он обладал феноменальной памятью, я узнала намного позже. Оказалось, он запоминал документ, словно копировальная машина, не ошибаясь даже в запятых; словно записывающее устройство, он мог в точности повторить беседу нескольких человек; словно видеомагнитофон, был способен детально воспроизвести все, что видел за короткое время.

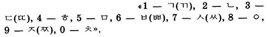
Я изучила, как в его голове укладывалась сложная информация. Сначала он разделял цифры по цветам, например, 1 — черный цвет, 2 — желтый, 3 — коричневый, 4 — белый. Конечно, отвратительно, что цифра 3 обозначалась цветом дерьма, но загвоздка была в особенностях корейского алфавита: только в цифре 4 вместо редко используемой буквы «ㄹ» писали — «ㅎ».

Тогда получалось, что каждой цифре от 1 до 10 соответствует своя буква:

Иллюстрация к книге — Чудо-мальчик [i_003.jpg]

После распределения цифр таким образом для лучшего запоминания их надо связать с каким-нибудь образом и сохранить в воображаемом пространстве в голове. Например, 1592 год, год японского вторжения, можно представить в виде картины

Иллюстрация к книге — Чудо-мальчик [i_004.jpg]
[38] , по первым буквам слов можно составить нужное число:
Иллюстрация к книге — Чудо-мальчик [i_005.jpg]
[39] . Если вы хотите встретиться с кем-то четвертого ноября 1974 года, в два часа дня, то это можно вообразить в виде следующей сцены:
Иллюстрация к книге — Чудо-мальчик [i_006.jpg]
[40] .

Что касается него самого, то для выступления по телевизору он выучил число π с тысячей цифр после десятичной запятой. Я думаю, что оно, вероятно, было самым красивым числом в мире [41] .

Иллюстрация к книге — Чудо-мальчик [i_007.jpg]

[К сожалению, в переводе не удалось сохранить картину, соответствующие тем цифрам, которые есть в корейском тексте, где первая буква каждого слова в стихотворении обозначает какую-нибудь цифру.

Пальмовое дерево, смутно вырисовывающееся во дворе в виде тени зяблика. Эй, душа, тянущаяся всей длиной к голосу ночи! Давным-давно кто-то шел по лесной тропинке и, слушая печальный свист, гладил свои красные брови, вспоминая далекое жаркое лето. В водах медленно текущего ручья, треща, собираются кряквы и пустельги и смотрят вверх мутным взглядом. Темно-синее внимательное время обходит темный круг глубокой ночи, словно в дреме. Первые слова беззаботно летящих облаков: «Недобрые глаза плачут холодом…» Бесполезное сожаление — след ушедшей надежды. На карте души, разбросанной как попало, сорвавшееся ледяное дыхание. На скамейке летнего парка одна, опьянев, поет песню: «Вчера выпал дождь, я с бывшей любимой расстался навсегда». Вспоминая снова ночной поцелуй, рукой, испачканной в земле, коснулся твоего лба. Снова выпавший стойкий осенний белый иней. Усердие первого снега и честность нового года…]

Так как в каждом слове первая согласная буква означает цифру, то выучить такую строку равносильно тому, чтобы выучить первые сто цифр π после десятичной запятой. Например, первые одиннадцать цифр числа π 3,1 415 926 535 представлены фразой

Иллюстрация к книге — Чудо-мальчик [i_008.jpg]

Поэтому, чтобы запомнить тысячи цифр после десятичной запятой, ему требовалось не больше десяти минут. Числа, образованные таким образом, он размещал по порядку в организованном в сознании пространстве памяти.

В случае необходимости можно было создать несколько подобных зон. Например, дела, которые надо было выполнить, он сохранял в своем воображаемом доме. А чтобы не забыть страницу, на которой остановился, он придумывал такую вот картину:

Иллюстрация к книге — Чудо-мальчик [i_009.jpg]
. Когда стихнет тот шторм? Вероятно, он стихнет, когда я дочитаю до конца «Холм штормов» со сто шестьдесят седьмой страницы, на которой закончил читать, закрыв книжку.

Если таким способом передвигаться по воображаемому дому, становятся видны разные дела, которые ждут своего выполнения. Например, напоминание о том, что следует заняться английским языком, он представлял в таком образе:

Иллюстрация к книге — Чудо-мальчик [i_010.jpg]
[43] Выучив ежемесячное расписание поездов национальной железной дороги и очередность всех тридцати одной станции метро, находящихся на первой ветке, он сохранил все это в том же воображаемом доме. Когда у него появлялось время, он, одетый в яркую одежду, ехал на поезде в построенном сознанием пространстве, разглядывал людей, стоящих на платформе, и просматривая список дел.

Реклама
Вход
Поиск по сайту
Ищем:
Календарь