Книга Выбор. Правила Голдратта, страница 10 – Элияху Голдратт, Эфрат Голдратт-Ашлаг

Авторы: А Б В Г Д Е Ж З И Й К Л М Н О П Р С Т У Ф Х Ч Ш Ы Э Ю Я
Книги: А Б В Г Д Е Ж З И Й К Л М Н О П Р С Т У Ф Х Ц Ч Ш Щ Ы Э Ю Я
Бесплатная онлайн библиотека LoveRead.ec

Онлайн книга «Выбор. Правила Голдратта»

📃 Cтраница 10

Сомнения остались при мне. Я мягко сказала:

– Я знаю, что для точных наук теория Ньютона принята как основа. Ученые доискиваются до первопричин, не терзаясь вопросом: «А существуют ли они?» Но с гуманитарными науками все иначе. Покажи мне психолога, который согласится, что реальность проста. – Чтобы раззадорить отца, я добавила: – Разве ты не знаешь, что все люди разные, к тому же у них есть свобода выбора?

Отец вздохнул:

– Слишком часто я слышу, что люди, в отличие от предмета изучения точных наук, непредсказуемы, и человеческая сущность не определяется причинно-следственными связями.

Я хотела вставить свое замечание, но он жестом показал, что собирается продолжить.

– Этот аргумент совершенно несостоятелен. Опираясь на собственный опыт, могу предсказать, что произойдет со мной, если я выскажу твоей матери, что, действительно, думаю по поводу ее новой машины. Люди непредсказуемы? Вздор! – Чуть сбавив тон, он спросил: – Ты согласна с утверждением: «Скажи мне, как оцениваешь меня, и я скажу тебе, как я буду себя вести»?

Я помню, когда впервые услышала эту фразу. В ту пору я начинала изучать психологию и все рассматривала под этим углом.

– Ты знаешь, что да, – ответила я.

Отец оседлал любимого конька:

– Тот, кто соглашается с подобным утверждением, фактически признает, что люди предсказуемы, что они действуют в системе причин и следствий. В данном случае причина – это оценка, а следствие – итоговое поведение. Разумеется, с абсолютной точностью поступки людей не предугадать. То же, впрочем, и с электронами. Или с погодой. Ты не согласна?

Пока он занимался своей трубкой, я сказала:

– Ты ломишься в открытую дверь. Если бы действия людей были полностью непредсказуемы, как бы существовали общество или даже семья?! А уж о моей работе тогда и речи не было бы.

– Так в чем же разница между материальным миром и миром человеческих отношений? – спросил отец. – Почему так трудно усвоить, что абсолютно всей реальности присуща Прирожденная простота?

– Потому что люди намного сложнее, – настаивала я. – Потому что им трудно принять факт, что очевидно сложные явления и процессы основаны на Прирожденной простоте.

– Эфрат, – обратился отец, – тебя не подменили со вчерашнего дня? Не ты ли вчера утверждала, что группа людей намного сложнее одного человека, и что организация – пример самого сложного устройства? Неужели отчет, который я дал тебе прочесть, так ясно показал простую, поразительно простую первопричину, влияющую на сложную организацию?

Он добавил шутливо:

– Или, может быть, эта компания недостаточно сложна для тебя?

– Туше, – признала я. В нашем фехтовальном поединке он оказался сильнее. Компания с таким ошеломительным – 80 тысяч за сезон – количеством разновидностей продукции сложна настолько, что я с трудом могу ее представить. Однако с помощью причинно-следственного анализа, с помощью простой, очевидной логики отец дошел до основной причины, и ситуация стала кристально ясной. Ясной до такой степени, что я не могла не спросить себя, как же случилось, что никто – ни руководство данной компании, ни руководители других компаний, связанных с выпуском одежды, – не осознали этого раньше?

Однако ощущения разлада еще не было.

– С одной стороны, ты внушил мне, что реальность в случае с BigBrand проста. Я слушала тебя. Я следовала твоей логике. И даже могу, в общем, принять то, что ты говоришь, но факт остается фактом: люди сложны, а BigBrand – невероятно сложная компания. Каким же образом такие, несомненно, сложные категории могут быть простыми? Не понимаю.

Он прочистил трубку. Затем заново набил ее табаком из маленькой жестяной коробочки. Я терпеливо ждала. Наконец, он раскурил трубку и заговорил.

– Представь двух людей, которые спорят о том, длиннее огурец или зеленее. Один утверждает, что длиннее, потому что огурец зеленый только снаружи, но длинен он одинаково – и снаружи, и внутри. Другой твердит, что огурец зеленее, потому что он зеленый и в длину, и в ширину. Как ты думаешь, кто из них прав?

– Отец. – Я с раздражением попыталась его прервать.

Он невозмутимо продолжал:

– Разногласия между двумя спорщиками бессмысленны, потому что «длинный» и «зеленый» – разные качества. Может быть, ты растеряна, поскольку совершаешь ту же ошибку?

– Нет, – твердо ответила я. – Огурец может быть одновременно и длинным, и зеленым, но система не может быть сложной и простой одновременно. Простота – противоположность сложности.

– Это зависит от того, как ты определяешь сложность, – возразил он. Затем взял листок бумаги и нарисовал небольшие схемы.

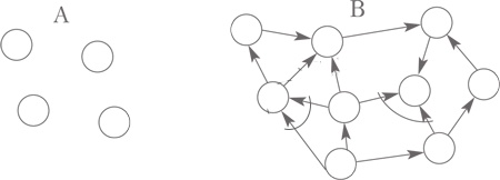
– Вот две системы. Левая, назовем ее «системой A», представлена четырьмя кружками. А ужасная картинка из кружков и стрелок справа – «система B». Какая из этих систем сложнее?

Иллюстрация к книге — Выбор. Правила Голдратта [i_001.jpg]

Моим первым побуждением было указать на B. Но секундные размышления ослабили мою уверенность. На всякий случай, я решила промолчать.

Отца это не обеспокоило.

– Ответ зависит от того, как человек понимает сложность, – начал он объяснять. – Вот распространенное определение сложности: чем больше данных необходимо, чтобы полностью описать систему, тем сложнее эта система.

– Хорошее определение, – согласилась я. – Если нужно всего пять предложений, чтобы описать систему, она проста, но если для описания требуются сотни страниц, разумеется, она гораздо сложнее.

– Если исходить из этого определения, – сказал он, – нет никаких сомнений, что система B значительно сложнее, она содержит больше кругов и вдобавок – много стрелок. Ты, вероятно, знаешь, описание причинно-следственных стрелок-связей требует больше данных, чем описание единичного объекта – кружка.

– Верно, – кивнула я. И, улыбнувшись, добавила: – Но…

Отец улыбнулся в ответ и продолжил:

– Но… есть и другое определение сложности. Если ты – ученый или руководитель, тебя не слишком волнует общее описание системы. Тебя куда больше интересуют проблемы контроля над ней и прогноз ее поведения, особенно, когда система претерпевает изменения. В этом случае дадим следующее определение: чем больше в системе степеней свободы, тем система сложнее.

– Я не физик, – напомнила я. – Что такое «степени свободы»?

– Посмотри на систему и спроси себя: «Какое количество точек надлежит тронуть, чтобы повлиять на всю систему в целом?» Если одну, значит, у системы всего одна степень свободы. Так обстоит дело с системой B, в которой, если тронешь нижний кружок, то, с помощью причинно-следственных связей, задействуешь и все остальные круги-объекты. Если же таких точек четыре, как в системе A, то налицо четыре степени свободы. Кстати, система с четырьмя степенями свободы намного сложнее по всем параметрам, чем система, у которой только одна степень свободы. Сложнее и для контроля, и для прогнозирования. Теперь, Эфрат, тебе слово. Какая система сложнее – A или B?

Реклама
Вход
Поиск по сайту
Ищем:
Календарь