Книга Что там – за словом? Вопросы интерфейсной теории значения слова, страница 39 – Александра Залевская

Авторы: А Б В Г Д Е Ж З И Й К Л М Н О П Р С Т У Ф Х Ч Ш Ы Э Ю Я
Книги: А Б В Г Д Е Ж З И Й К Л М Н О П Р С Т У Ф Х Ц Ч Ш Щ Ы Э Ю Я
Бесплатная онлайн библиотека LoveRead.ec

Онлайн книга «Что там – за словом? Вопросы интерфейсной теории значения слова»

📃 Cтраница 39
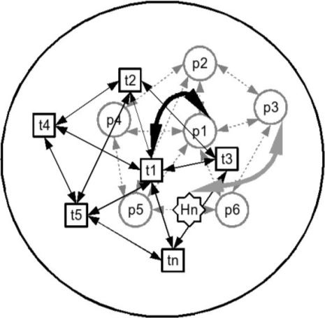
Иллюстрация к книге — Что там – за словом? Вопросы интерфейсной теории значения слова [b00003720.jpg]

Рис. 3.5. Сетевая структура гипертекста


Именно включение в специфический внутренний контекст как взаимодействие своеобразных средств глубинной «индексации» по множеству разнокодовых признаков и межкодовых связей обеспечивает переживание понятности воспринимаемого сообщения/текста благодаря «высвечиванию» в индивидуальном образе мира некоторой ситуации с широким фоном выводных знаний и оценок. При этом роль «пускового момента» для такой индексации играет слово в его социально принятом значении, а обращённая к индивиду ипостась двойной жизни значений реализуется через внутренний контекст.

Рассмотренные представления о специфике индивидуального мультимодального гипертекста хорошо согласуются с современными концепциями общей архитектуры мозга и особенностей его функционирования [247] и с новыми подходами к разработке теории значения слова [248] .

Роль признаков в идентификации слов, восприятии и понимании текста, организации лексикона человека и упорядочения знаний о мире и т.д. подтверждается результатами экспериментальных исследований [249] . Важность предметно-чувственных основ того, что лежит за словом у пользующегося им индивида и выступает как синергетическое взаимодействие продуктов переработки перцептивного, когнитивного и эмоционально-оценочного опыта, наглядно показана, например, в исследованиях: [250] . Недостаточность включения в электронную гиперсеть сведений о слове, обеспечиваемых только словарными дефинициями, продемонстрировано в исследовании [251] .

«Everything is deeply intertwingled» – такую базовую характеристику дал гипертексту создатель этого термина Теодор Нельсон [252] , которому принадлежит также наиболее общее определение гипертекста как широчайшего количества содержательной информации, увязываемой огромным количеством пересекающихся связей (an enormous amount of information content connected by an enormous number of hypertext links). Эти характеристики являются базовыми и для живого мультимодального гипертекста, который: – является открытой функциональной динамической системой; – связывает мультимодальные продукты переработки вербального и невербального опыта познания и общения; – имеет сетевую структуру с бесчисленными взаимно пересекающимися связями; – характеризуется множеством различных отношений, представляемых в многомерном пространстве; – не имеет ни начала, ни конца; – допускает достижение результата поиска разными путями; – характеризуется формированием расплывчатых множеств с нечёткими границами и т.д.

Обратим внимание на серьезное различие между исследованиями электронного гипертекста и предлагаемым в этой книге подходом: в перовом случае фактически взаимодействуют две научные метафоры – «компьютерная» и «мозговая», в то время как во втором случае реализуется взаимодействие «мозговой» метафоры и метафоры «живое знание», что приводит к различающимся результатам (ср.: информационная технологии vs трактовка гипертекста как познавательной универсалии), что показано на схеме (см. рис. 3.6). Фактически мы снова встречаемся со случаем омонимии терминов.

Иллюстрация к книге — Что там – за словом? Вопросы интерфейсной теории значения слова [b00003729.jpg]

Рис. 3.6. Различия между электронным и «живым» гипертекстом


2.3. Основные положения интерфейсной теории значения слова

Краткий обзор новых подходов к трактовке значения слова показал, что при разработке новой теории значения, способной объяснить то, что лежит за словом у пользующегося языком человека, нельзя оставаться в прокрустовом ложе лингвистики: требуется объединение усилий представителей многих наук о человеке как представителе вида и как личности, включённой в естественную и социальную среду. Речь идёт не о механическом «сложении» результатов, полученных в разных областях знания, а о творческом синтезе, учитывающем взаимодействие многих внешних и внутренних факторов, что обеспечивает переход на более высокий уровень теории объяснительного типа.

Для успешности такой теории необходим целостный подход к человеку, у которого:

а) постоянно взаимодействуют тело и разум, т.е. знание в некотором смысле «распределено» между сенсорикой и интеллектом как комплементарными механизмами);

б) язык функционирует как один из психический процессов (в слаженным ансамбле с памятью, мышлением, воображением и т.д.);

в) перцептивные процессы реализуются во взаимодействии с когнитивной переработкой и эмоционально-оценочными переживаниями;

г) имеет место постоянная динамика уровней осознаваемости любой (в том числе – речемыслительной) деятельности при особой роли механизма контроля – как сознательного, так и (в большей мере!) неосознаваемого. При этом:

д) индивид всегда включён в некоторые естественные и социальные взаимодействия и ситуации;

е) его знания носят распределённый характер, поскольку они усваивается в культуре и через культуру;

з) разделяемое с другими людьми знание координируется благодаря особой (интерфейсной) роли значения слова, обращённого одной своей ипостасью к социуму, а другой – к индивиду, которому необходимо соотносить свой личный опыт познания мира с опытом других людей для взаимопонимания при общении и совместной деятельности.

Что же обеспечивает саму возможность успешного взаимопонимания между людьми при всех осложняющих решение этой задачи факторах?

Легче всего представить себе, что у каждого индивида имеется некоторый «словарь в голове», в котором слово хранится в единстве всех его форм и значений (об этом своё время говорил акад. В. В. Виноградов). Такое впечатление создаётся, когда мы начинаем думать о словах, т.е. осуществляем целенаправленную мета-языковую деятельность. Однако следует различать:

I. ситуацию естественного семиозиса как многоэтапного процесса (точнее – взаимодействия ряда процессов) с выходом на табло сознания только конечных результатов поиска опор для переживания понятности воспринимаемого (в таком случае мы думаем не о словах, а одействительности, на что указывает Н. И. Жинкин;

II. ситуации научного анализа и/или бытовой рефлексии, фокусирующиеся на словах как таковых, т.е. на именованиях того, что лежит за словом. В обеих противополагаемых ситуациях взаимодействуют именуемая «вещь» и её «имя», но акценты принципиально различаются: в первом случае главное – «имя ВЕЩИ», а во втором – «ИМЯ вещи», поэтому различаются и результаты поиска того, что лежит за словом. Что же лежит за именем ВЕЩИ?

Вход
Поиск по сайту
Ищем:
Календарь