Книга Тюрки или монголы? Эпоха Чингисхана, страница 51 – Анатолий Оловинцов

Авторы: А Б В Г Д Е Ж З И Й К Л М Н О П Р С Т У Ф Х Ч Ш Ы Э Ю Я
Книги: А Б В Г Д Е Ж З И Й К Л М Н О П Р С Т У Ф Х Ц Ч Ш Щ Ы Э Ю Я
Бесплатная онлайн библиотека LoveRead.ec

Онлайн книга «Тюрки или монголы? Эпоха Чингисхана»

📃 Cтраница 51

В мае 1732 года в ставку Абулхаир-хана приехали калмыцкие посланцы от Доржи Назарова и его сына Лубжи, «пускали в ход всё своё красноречие», чтоб убедить казахов выступить против русских войск [119, с. 105]. Интересно, как убедительнее выразить своё красноречие перед собеседником, если говорить на иностранном языке? Переводчик может не так изящно перевести. «И Абулхаир понимал, что калмыки бесстыдно лгали» [там же].

Или вот другой, почти аналогичный, случай по применению разговорного языка между казахами и калмыками. «Знатным джунгарским гостям Аблай предложил место правителей в казахских улусах: Даваци – в роде басентиин, Амурсане – в уак-кереях, а Банджуру – в племени найман» [119, с. 202]. Понимая, что это чисто дипломатический приём Аблая, всё-таки попытаемся осмыслить, как джунгары, иностранцы, владеющие монгольским языком, будут управлять казахами? Невероятный случай. Скорее всего, джунгарские гости знали казахский язык, если искали у казахов для себя надежное укрытие.

В истории взаимоотношений казахов с калмаками (ойратами) был случай и противоположного характера, когда казахи правили калмаками. В 1594 году в Москве казахское посольство Таваккул-хана заявляло, что он «учинился на Казатцкой орде, а брата своего Шах-мамета-царевича посадил на калмаках, а кочуют-де поблиску и все в соединенье…» [58, с. 175]. Следовательно, в результате военных столкновений и поражений ойраты в данный момент вынуждены были признавать власть казахских ханов. Очевидно – языковой барьер меж ними не существовал.

Историк Златкин И.Я. – один из лучших исследователей истории Джунгарского ханства, в своей книге упоминает о происхождении племени торгаутов от кереитов Ван-хана, а самого основателя ханства Хура-Хула возводит к чоросам – одному из племен Моголистана [43, с. 78].

Джунгарский хунтайджи Галден Церен писал хану Абулхаиру: «Мы де калмыки и кайсаки вдвоём – ястребы, а перед одной вороной (российская императрица) не станем на колени, ибо они тележные, а мы узбеки» [119, с. 153]. Вот они кто – узбеки! Это говорит самый главный предводитель джунгар Галден Церен, представитель западных монголов. Он подтверждает, что они, джунгары, выходцы из тюркских племен. По-моему – убедительно, самый авторитетный источник из первых рук.

Писатель-историк Радик Темиргалиев справедливо заключает: «Лозунг кочевого единства был близок очень многим казахам и ойратам. Эпоха Чингисхана и его преемникам казалась кочевникам «золотым веком», когда тюрки и монголы, благодаря своему единству, правили миром. Именно эта идея примирила джунгар и казахов» [119, с. 153].

Исследователь С.А. Едилханова подводит итоги следующим образом: «Термин «тюркско-монгольский симбиоз» давно занял свое особое место в истории. Общими предками казахов и джунгар являются хунны, кидане, кереиты и другие племена. Из глубины веков дошли до нас исторические и культурные связи тюрко-монгольских народов, одной из ветвей которых являются казахи, а другой – джунгары (ойраты)» [34, с. 88].

Другой казахский исследователь А.Ш. Кадырбаев в своей работе обобщает условия сложения различных этносов: «Современные народы, а история казахов и монголов тому наглядное подтверждение, сложилась на основе смешения разных племен и народностей, причём, одни и те же этнические компоненты, хотя и в неодинаковом соотношении, участвовали в формировании тюркских и монгольских народов, что отвергает теории о «расовой чистоте», национальной исключительности «каких бы то ни было народов» [34, с. 88].

Вышеприведенные факты взаимоотношений казахов и джунгар приведены здесь с одной целью, чтобы убедить любопытных читателей в том, что казахи и джунгары в своем тесном общении на всех уровнях говорили каждый по своему – на казахском и калмыцком языках, но обоюдопонятным им, так как имели много родственных общих слов на тюркской основе. Современный же халха-монгольский язык имеет только незначительный процент общих слов с тюркскими языками.

Секретарь египетского султана ал Малик аз-Захир Бейбарса по имени Ибн-Абу-аз-Захир (ум. в 1293 г.) писал о переписке своего султана, знаменитого Бейбарса, с царем Золотой Орды Берке, и всегда кочевников Дешт-и Кипчак называет татарами. О прибытии египетских послов к царю Берке (1264 г.) он описывает следующим образом: «Главный кади (судья), находившийся при нем, перевел послание и послал список Кану; письмо султана было прочтено по-тюркски (лицам), находившимся при нем (Береке). Они (Татары) обрадовались этому; он (Береке) отпустил послов с ответом своим и отправил с ним своих послов» [47, с. 76].

Таким образом, секретарь египетского султана собственноручно заверяет, что окружение (диван) царя Береке тюркскую речь египетского правителя встретило весьма радостно. Это была их родная речь.

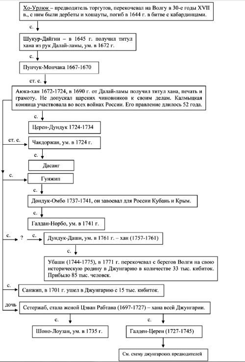
Иллюстрация к книге — Тюрки или монголы? Эпоха Чингисхана [i_007.jpg]

Схема правителей Калмыцкого ханства на Волге


Интересны воспоминания и другого арабского историка Ибн Васила, умершего в 1297 г. в городе Хамс, где он занимал должность главного кади, судьи. О битве Татар царя Береке, так называет их арабский историк, с Монголами (войском Хулагу) на берегах р. Куры, пишет следующее: «Когда Береке прибыл на место битвы и увидел ужасное избиение, то он сказал: «Да посрамит Аллах Халавуна этого, погубившего Монголов мечами Монголов! Если бы мы действовали сообща, то покорили бы всю землю» [47, с. 85].

Битва между Береке-ханом и Хулагу-ханом в 1262 г.

Вот как описывает эту битву на реке Терек в 1262 году между войсками Береке-хана (Золотая Орда) и иранским Хулагу-ханом венецианец Марко Поло спустя несколько десятилетий, видимо со слов очевидцев: «Летают стрелы с той и другой стороны и через немного времени воздух ими так наполнился, что неба не было видно. Видно было, как много людей падали на землю и много также коней; и должны вы этому верить: не могло быть иначе, столько стрел за раз было выпущено. Не переставали они пускать стрелы до тех пор, пока стрелы были в колчане, и вся земля покрылась мертвыми и насмерть ранеными. А когда израсходовали все стрелы, схватились за мечи и палицы, бегут друг на друга и раздают удары сильные. Началась битва злая и жестокая. Жалко было смотреть. Видно было, как отсекались руки и головы; валялись на земле кони и люди мертвые; много погибло; в дурной час началась эта битва; просто жалость! Ни в одной битве не погибло столько, как тут. Крики и шум был такой, что грома божьего не услышать. Скажу вам, по истинной правде, по мертвым телам приходилось ходить; вся земля ими была покрыта и от крови стала багровая. По истинной правде, скажу вам, давно уж не было битвы, где столько людей погибло бы, как тут. Такой тут был плач, и так кричали те, что на землю пали смертельно раненые и не могли подняться. Просто жалость было смотреть! В дурной час началась битва для той и другой стороны. Много жен стали вдовами и много детей сиротами. Показали они, что добра друг другу не желают и враги смертельные» [77, с. 460].

А мне остается только добавить, что это бились друг с другом тюрки, как с той, так и с другой стороны. Только под разными знаменами. А возглавляли эти войска двоюродные братья. Оба были внуками Чингисхана.

Реклама
Вход
Поиск по сайту
Ищем:
Календарь