Книга Оправдание евразийской интеграции, страница 30 – Алексей Мухин, Ильмир Аглиуллин

Авторы: А Б В Г Д Е Ж З И Й К Л М Н О П Р С Т У Ф Х Ч Ш Ы Э Ю Я
Книги: А Б В Г Д Е Ж З И Й К Л М Н О П Р С Т У Ф Х Ц Ч Ш Щ Ы Э Ю Я
Бесплатная онлайн библиотека LoveRead.ec

Онлайн книга «Оправдание евразийской интеграции»

📃 Cтраница 30
Иллюстрация к книге — Оправдание евразийской интеграции [i_009.jpg]

Источник: диаграмма составлена на основе данных ФМС России, представленных в таблице 3.


Обращает на себя внимание резкое усиление динамики роста числа граждан Казахстана на территории России в первые месяцы 2015 года.

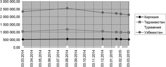
Одновременно наблюдается снижение количества граждан центрально-азиатских стран СНГ: Киргизии, Таджикистана, Туркмении и Узбекистана, находящихся на территории России. Динамика этого снижения представлена на диаграмме 7.


Рисунок 7. Динамика изменения количества граждан Киргизии, Таджикистана, Туркмении и Узбекистана, находящихся на территории России

Иллюстрация к книге — Оправдание евразийской интеграции [i_010.jpg]

Источник: диаграмма составлена на основе данных ФМС России, представленных в таблице 1.


Из диаграммы видно, что тенденция уменьшения количества мигрантов из центрально-азиатских стран СНГ, не вступивших в Союз, находящихся на территории России, не изменилась после 1 января 2015 годы– даты начала действия Договора. Отсюда можно сделать вывод, что, скорее всего, на данную ситуацию влияет отсутствие у граждан этих стран преференций, полученных гражданами государств-членов Союза в соответствии с Договором.

Отсутствие перспективы улучшения экономической ситуации в России в ближайшее время, уменьшение контингента мигрантов, которым разрешен въезд на территорию России, а также ужесточение российского миграционного законодательства позволяют предположить, что с учетом сезонного фактора количество законных мигрантов из центрально-азиатских стран СНГ, не присоединившихся к Договору, если и вырастет к лету, то незначительно.

При этом увеличения масштабов незаконной миграции из этих стран не будет. Ограничительные меры, предпринятые в целях усиления противодействия незаконной миграции как на законодательном уровне, так и в плане практической реализации позволили существенно сократить число нелегальных мигрантов. Так, по сведениям Департамента региональной безопасности и противодействия коррупции Москвы и Управления Федеральной миграционной службы по г. Москве108, в 2014 году количество мигрантов, которые решили «выйти из тени» и встать на миграционный учет, резко возросло. В 2014 году количество мигрантов, поставленных на учёт в столице, составило 2 млн 186 тыс. человек, что на 49,9 % больше аналогичного периода 2013 года (1 млн 485 тыс. человек). При этом в 2014 году въезд в Москву был закрыт 118 тыс. иностранцев, 30 тыс. иностранных граждан выдворено.


Риски безопасности

В связи с принятием мер по противодействию незаконной миграции в отношении, в частности, мигрантов из неприсоединившихся к Договору центрально-азиатских стран СНГ, ее масштабы и уровень связанных с ней рисков безопасности снизились. При условии сохранения политического статус-кво в Центрально-Азиатском регионе, в том числе и в Афганистане, угроза увеличения масштабов незаконной миграции из стран региона минимальна.

Однако, в силу специфики региона, существует потенциальная угроза повышения рисков безопасности, связанная с возможной дестабилизацией социально-политической обстановки в центрально-азиатских странах как из-за внутренних противоречий, так и в связи с возможными действиями внешних сил.

Помимо экономических факторов ситуацию в центрально-азиатских странах усугубляют внутренние противоречия: сложная социально-экономическая обстановка, борьба различных политических, этнических, религиозных группировок и кланов за власть и передел собственности, нарастание активности экстремистских, в том числе религиозного характера, организаций, банд, занимающихся контрабандой, наркотиками и работорговлей. Внешние угрозы для центрально-азиатских стран СНГ связаны с выводом Международных сил содействия безопасности (ISAF) из Афганистана, а также с действиями группировки «Исламское государство» и других исламских экстремистских и террористических организаций.

Несомненно, что любая попытка дестабилизации в Центральной Азии отразится и на России, и на Казахстане, особенно в условиях прозрачности границ и направленности миграционных потоков в их сторону.

Результаты проведенного исследования позволяют сделать следующие выводы:

1. Миграционная обстановка в Российской Федерации имеет изменяющийся циклически сезонный характер и отличается стабильностью. Несмотря на ухудшение экономической ситуации в стране и ужесточение миграционного законодательства наблюдается незначительное уменьшение количества трудовых мигрантов и отсутствие массового их оттока.

2. Устранение барьеров на пути движения трудовых мигрантов – граждан стран-членов Договора в рамках общего рынка рабочей силы показало положительные результаты, что может стимулировать центрально-азиатских страны, не присоединившиеся к Договору, вступить в Союз.

3. Меры, предпринимаемые компетентными органами России в целях противодействия незаконной миграции позволили значительно сократить число незаконных мигрантов, заставляя их «выходить из тени» и легализоваться.

4. Формирование общего рынка Союза, предусматривающего свободное перемещение рабочей силы внутри ЕАЭС, не спровоцировало увеличение масштабов незаконной миграции и связанных с ней рисков безопасности.

Новый «великий шелковый путь» в развитии проекта евразийской интеграции

Возможность создания финансового центра в России

В настоящее время одним из самых амбициозных проектов экономического возрождения страны считается создание в России регионального финансового центра и превращения рубля в региональную резервную валюту.

По нашему мнению, можно предложить следующую укрупненную классификацию финансовых центров:

• «Тихая гавань» (Цюрих, Монако, Люксембург, Бермуды) – деньги привлекаются по причине надежности их хранения, что в сочетании с соответствующим мягким законодательством, здоровым и мягким климатом, историческими традициями неучастия в войнах стимулирует богатых людей с неспокойным прошлым оседать в этих местах, увеличивая их финансовый потенциал;

• «Транспортный узел» (Нью-Йорк, Бостон, Франкфурт-на-Майне, Шанхай, Гонконг, Сингапур, Дубай, Катар, Бахрейн) – этот вид центра распространен более всего; представляется, что и в будущем, несмотря на развитие телекоммуникационных систем, он не потеряет своего значения, т. к. значительная часть финансовых операций требует конфиденциальности и не может быть доверена на всеобщее обозрение (даже при наличии информационной защиты отсутствуют гарантии несанкционированного доступа к финансовой информации); поэтому все финансовые операции будут концентрироваться около соответствующих транспортных узлов;

• «Административный узел» (Лондон, Франкфурт, Париж, Токио, Сеул, Москва) – этот тип финансового центра обусловлен историческими особенностями развития стран, точнее, схемой принятия важных финансовых решений; если в государственных традициях страны было делегировать все важные вопросы на самый верхний уровень управления (например, в Англии это было оправдано из-за необходимости централизованного управления сложной системой колоний и доминионов), то будет складываться именно такой тип финансового центра.

Реклама
Вход
Поиск по сайту
Ищем:
Календарь