Книга Семь шагов для создания эффективного ИТ-подразделения, страница 21 – Сергей Гредников

Авторы: А Б В Г Д Е Ж З И Й К Л М Н О П Р С Т У Ф Х Ч Ш Ы Э Ю Я
Книги: А Б В Г Д Е Ж З И Й К Л М Н О П Р С Т У Ф Х Ц Ч Ш Щ Ы Э Ю Я
Бесплатная онлайн библиотека LoveRead.ec

Онлайн книга «Семь шагов для создания эффективного ИТ-подразделения»

📃 Cтраница 21

– Подготовка внутренних отчетов

– Обучение, повышение квалификации

– Прочие работы, сложно учитываемые по времени и т. п.

Конечно же, для получения расчета по эффективности персонала необходимо выполнить основное условие – вести полноценный учет затраченного рабочего времени всех ИТ-сотрудников в разрезе Каталога ИТ-услуг по всем Заявкам пользователей. Причем дополнительным условием является отражение факта отсутствия ИТ-специалиста по всем причинам невыхода на работу (очередной отпуск, больничный, административный и т. д.).

Выполнение выше приведенных условий позволит получать срез о текущей полезной эффективности ИТ-персонала с интервалом до восьми часов (одного рабочего дня) при необходимости. Шаблон отчетной формы представлен в

При рассмотрении шаблона, внимательный Читатель, обратил внимание на три колонки эффективности!? Давайте расшифруем их:

1. Полная эффективность – полезная эффективность рассчитанная как: отношение суммарного времени по всем разделам Каталога ИТ-услуг к норме времени. Данный показатель отражает наличие переработки ИТ-специалиста и подразделения в целом за отчетный период.

2. Эффективность персонала, рассчитанная без восьмого раздела («Организационно-распорядительные работы и работа с документацией»), т. е. работ, которые не создают новой стоимости. Именно на этот показатель ИТ-руководитель может и должен влиять. Уменьшение того, что можно назвать «сорным» временем: потраченным на дорогу к клиенту на встречу, в самолете и т. п. – ведет к повышению полезной эффективности. Использование мобильного телефона, Корпоративной телефонной связи, Видео конференц связи, применение методов дистанционного обучения и WEB-семинаров – позволяют наиболее эффективно использовать рабочее время и минимизируют «сорное время» ИТ-специалистов. Эти инструменты позволяют использовать то, что раньше было потерянным временем офисных и сервисных работников. Только информационные технологии могут повысить производительность офисных работников и работников непроизводственной сферы – их внедрение является аналогом роботизации в сфере производственной. Однако нужно не забывать, что положительный эффект от ИТ отложен во времени.

3. Третья цифра полезной эффективности рассчитывается как отношение суммарного времени по всем разделам Каталога ИТ без 8 раздела и отсутствия ИТ-специалиста к норме времени. Данный показатель отражает действительную полезную эффективность ИТ-специалиста или подразделения в целом. Т. к. находясь, например, на больничном сотрудник не выполняет возложенные на него обязанности. На рост данного показателя ИТ-руководитель в состоянии повлиять, путем рационального формирования графика отпусков сотрудников на год, а также выполняя пропаганду «за здоровый образ жизни» и всячески приветствуя мероприятия по укреплению здоровья сотрудников вверенного коллектива.

Применив принципы Закона Парето к отчету о полезной эффективности ИТ-персонала: для рядовых специалистов 80 % эффективности это приемлемое значение, а для руководителей 20 % (в зависимости от уровня руководителя), руководство подразделения может принимать меры по перераспределению обязанностей и функций того или иного специалиста с целью достижения долее высоких показателей по службе в целом. Также данный отчет является дополнительным инструментом ИТ-руководителя при распределении премиальных, при достижении службой целевых показателей эффективности.

7.6. Оценка функционирования ИТ как процесса

Как отмечалось ранее, в целях обеспечения качественного предоставления ИТ-услуг Заказчикам, согласно утвержденных параметров в Соглашении об уровне сервиса (SLA), ИТ-подразделение выполняет множество внешних и внутренних задач. Каждое направление деятельности ИТ-подразделения оценивается показателем эффективности, а иногда и несколькими. Остается открытым главный вопрос: как количественно измерить и оценить в последующем эффективность ИТ в целом?

Далее рассмотрим достаточно простой способ оценки функционирования ИТ-процесса.

При формировании пула показателей KPI для ИТ-подразделения для каждого из них был проставлен вес в долях. Сумма весов равняется единице. Для расчета оценки эффективности ИТ как процесса, нам понадобится дополнительный параметр – это важность или критичность показателя. Значения нового показателя определяются экспертным путем и варьируются в диапазоне от 0,1 до 1,0 с шагом 0,1, где 1,0 наиболее важный показатель при оценке ИТ процесса и 0,1 – наименее важный показатель.

При подведении итогов отчетного периода (результат деятельности за квартал) фактическое значение каждого показателя KPI отражается в таблице для расчета оценки. Если целевое значение показателя указано не в процентах, а в других единицах измерений, то при расчете целевое значение этого показателя принимается за 100 %, а фактическое выполнение рассчитывается пропорционально факт к плану. Пример заполнения таблицы приведен ниже.

Иллюстрация к книге — Семь шагов для создания эффективного ИТ-подразделения [image17_55e81f9616c723c22bc1fa59_jpg.jpg]

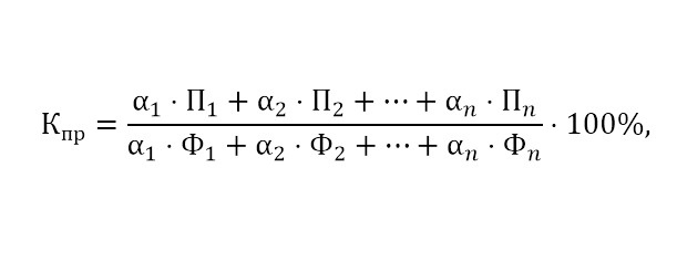
Теперь остается применить следующую формулу:

Иллюстрация к книге — Семь шагов для создания эффективного ИТ-подразделения [image18_55cc7b47759bb4c32f7a3622_jpg.jpg]

где Кпр– оценка функционирования ИТ процесса;

αi – важность i-го показателя KPI ИТ-подразделения;

Пi – плановое значение i-го показателя KPI ИТ-подразделения;

Фi – фактическое, значение i-го показателя KPI ИТ-подразделения.

Заключение о функционировании процесса интерпретируется следующим образом:

– если Кпр <80 % – процесс функционирует нерезультативно и неэффективно и требует разработки корректирующих действий по конкретным KPI или, другими словами, направлениям деятельности ИТ-подразделения;

– если 80 % ≤ Кпр <100 %. – процесс функционирует результативно и эффективно, но, говоря терминами Системы Менеджмента Качества, требует разработки корректирующих и/или предупреждающих действий, направленных на улучшение показателей;

– если 100 % ≤ Кпр <115 %. – процесс функционирует результативно и эффективно. Процесс не требует изменений в планируемом периоде;

– если Кпр ≥ 115 % – процесс функционирует результативно и эффективно, но требует пересмотра плановых значений показателей KPI, либо их изменение. Возможно необходима более глубокая детализация показателя и/или группы показателей KPI ИТ-подразделения.

Таким образом, применив выше представленный метод оценки, руководство предприятия будет иметь возможность выполнять мониторинг эффективности ИТ-процесса в целом, а также своевременно (на основе действующих внутренних регламентирующих документов) вносить изменения в целевые показатели ИТ-подразделения.

Вход
Поиск по сайту
Ищем:
Календарь