Книга Счастье по расчету. Как управлять своей жизнью, чтобы быть счастливым каждый день, страница 49 – Пол Долан

Авторы: А Б В Г Д Е Ж З И Й К Л М Н О П Р С Т У Ф Х Ч Ш Ы Э Ю Я
Книги: А Б В Г Д Е Ж З И Й К Л М Н О П Р С Т У Ф Х Ц Ч Ш Щ Ы Э Ю Я
Бесплатная онлайн библиотека LoveRead.ec

Онлайн книга «Счастье по расчету. Как управлять своей жизнью, чтобы быть счастливым каждый день»

📃 Cтраница 49

Поэтому неудивительно, что, если ваш друг, живущий всего в паре километров от вас, становится счастливее, есть вероятность (и довольно высокая – до 25 %), что вы тоже почувствуете больше счастья. Конечно, это может происходить и благодаря совместному опыту: все друзья могут одинаково переживать потерю друга. Но исследования показывают, что на игроков в крикет влияют эмоции их товарищей по команде, независимо от того, как хорошо выступает их команда. Это говорит о том, что по крайней мере часть такого эффекта влияния, возможно, и не обусловлена совместными ощущениями {265}.

Вероятно, чужие ощущения оказывают на вас особое влияние в том случае, если эти люди вам нравятся {266}. Нигде подобный эффект совместного счастья не проявляется сильнее, чем в семье. Когда группу из 55 подростков и их родителей в произвольные дни недели спрашивали об их эмоциях, оказалось, что у всех членов одной и той же семьи настроение практически одинаковое. Полученные результаты также говорят о том, что сходство эмоций отчасти возникает благодаря их передаче прежде всего от дочерей к родителям. Почему же так, спросите вы? Мы пока не уверены, но можно предположить, что девочки больше, чем мальчики, склонны обсуждать с отцом и матерью свои личные проблемы {267}. Как бы то ни было, ясно, что счастье – штука заразительная и представляет собой социальное явление.

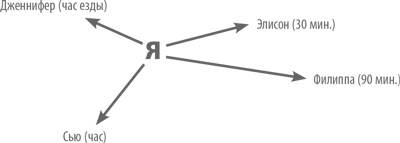
Поскольку другие люди так сильно воздействуют на наши поведение и счастье, близость родных и друзей – крайне важный фактор, который непременно следует принимать во внимание при выборе работы или нового местожительства. Основной вопрос, который следует себе задать при принятии решения о новом жилье, должен звучать примерно так: «Где живут люди, которые больше всего способствуют моему счастью?» Вообще, расстояния между нашими друзьями и нами самими со временем растут. Все больше людей уезжает из родных городов, а нам приходится все дольше ездить на работу, что оставляет все меньше времени на общение с теми, кто нам небезразличен {268}. Вы могли бы нарисовать собственную «карту» друзей или близких вам людей, аналогичную той, которая изображена ниже. Она поможет вам выделить тех, кто имеет для вас значение, и заодно осознать, насколько далеко они от вас находятся. Вы можете заново оценить свой «портфель» друзей, обратив внимание на тех, кого встречаете чаще всего, и на то, насколько они «вписываются» в компанию людей, доставляющую вам наибольшее удовольствие. Может оказаться, что вы окружены целой толпой мерзавцев! Есть также довольно замысловатые приложения в Интернете, которые тоже позволят вам составить подобную карту.

Иллюстрация к книге — Счастье по расчету. Как управлять своей жизнью, чтобы быть счастливым каждый день [i_022.jpg]

Благодаря социальным сетям слово «друг» приобрело совершенно новое значение. Ваши друзья в Facebook могут повлиять на то, чем вы занимаетесь и как вы себя чувствуете, – точно так же, как ваши друзья в реальном мире. Таким образом, есть смысл хорошенько изучить и этих «друзей». Производя время от времени подобную «Facebook-отбраковку», «перетряхивая» свои контакты, вы можете принести себе немало пользы, поскольку расположите по приоритетам тех людей, которые вас привлекают. Время от времени вам стоит проглядывать список своих друзей по переписке и общению в Интернете, точно так же как вы иногда перебираете свои финансовые документы.

Нет сомнений, что мои тренировки превратились в куда более увлекательное и наполненное смыслом занятие в компании опытного культуриста Дикси, впоследствии ставшего мне близким другом. Ему 54 года, и он занимается бодибилдингом уже больше 30 лет. За это время он вошел в тройку призеров на многих национальных и международных соревнованиях по бодибилдингу. Этот тренер способен вдохновить любого своего ученика. Если вы получаете удовольствие от посещения спортивного зала, познакомьтесь с кем-нибудь из профессионалов, воспользуйтесь его советами, подружитесь. Поверьте, такое общение окажет на вас и ваши результаты огромное влияние.

Вообще, вы могли бы стараться проводить больше времени в компании «машин удовольствия», если в вашей жизни не хватает удовольствия, – или «двигателей смысла», если в ней не хватает смысла. Вы могли бы поразмышлять о наиболее важных для себя людях. Используя маятник из главы 1, определите, кто ближе к вам живет или с кем вы проводите больше времени: с «машиной удовольствия» или с «двигателем смысла». Или вас все-таки окружают «уравновешенные» люди? Сейчас я многое делаю с ощущением смысла – даже когда посещаю спортивный зал, и стараюсь извлекать максимум удовольствия из нечастых встреч с такой «машиной удовольствия», как Миг. Я ценю тот факт, что у меня как ни у кого другого есть много возможностей сотрудничества с различными людьми. Но там, где есть выбор, многие люди, движимые ошибочными желаниями чего-то добиться, будут с большей охотой работать с теми, кто наиболее вероятно может поспособствовать их карьерному росту. Я же стремлюсь работать с людьми, чье общество приносит мне наслаждение.

Отыщите зону наилучшего восприятия

Мы хотим походить на людей, в которых видим свое подобие, – однако их успехи могут оказать на нас порой неблагоприятное воздействие. Ряд исследований обнаружил, что общее удовлетворение от жизни снижается, когда растут доходы тех, кто живет с нами по соседству {269}. Вообще-то говоря, благосостояние окружающих не должно неблагоприятно сказываться на ваших ощущениях – вам нужно понять, что другие просто больше зарабатывают, вот и все. Исследователи недавно серьезно расстроили сотрудников Калифорнийского университета, дав им интернет-ссылку, по которой можно было узнать о зарплатах их коллег (как оказалось, более высоких, чем у них). Это стало возможным благодаря закону, обязывающему правительственные органы отчитываться перед населением о своей деятельности. Оказалось, что те, кто зарабатывал меньше среднего уровня, были менее удовлетворены своей работой {270}. Возможно, стоит отметить, что в Великобритании в разговорах о деньгах соблюдается определенная скромность.

Реклама
Вход
Поиск по сайту
Ищем:
Календарь