Онлайн книга «Психология тревожности: дошкольный и школьный возраст»
|
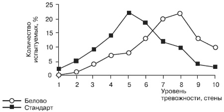
Вместе с тем, в многочисленных исследованиях по программе «Дети Чернобыля» получены медицинские и физиологические данные, свидетельствующие о воздействии уровня радиационного фона на показатели выраженности астенических расстройств, вегетососудистой дистонии, эндокринных нарушений, снижение в 2–2,5 раза уровня мышечной силы и в 3,3 раза – умственной работоспособности (см. Отчет НИИ физиологии детей и подростков по выполнению Государственной программы «Дети Чернобыля», 1992). Вопрос о влиянии радиационного фона является частью общей проблемы – влияния экологической обстановки на эмоциональное самочувствие человека, в том числе и на тревожность. Некоторые данные по этому вопросу мы получили в ходе участия в изучении воздействия свинца на здоровье детей, проводимом в 1996 г. Центром демографии и экологии человека Института народнохозяйственного прогнозирования РАН, Геологическим институтом РАН и Санкт-Петербургской медицинской академией (руководитель – доктор медицинских наук Б. А. Ревич). [22] Свинец – токсичный металл, отнесенный Всемирной организацией здравоохранения и рядом других международных организаций к числу наиболее опасных для здоровья загрязняющих веществ. Этот металл имеет тенденцию накапливаться в организме. Загрязненная им окружающая среда оказывает негативное влияние на здоровье взрослых и детей. Агентством по контролю за заболеваниями США (CDC) на основании многолетних исследований по определению свинца в крови и состоянии психического статуса детей разработана шкала опасности накопления свинца в крови (Preventing Lead Poisoning in Young Children // CDC, 1991). Установлено, что даже при слегка повышенном уровне содержания свинца в крови наблюдаются нарушения в обучении и поведении детей. Работа, в которой мы участвовали, явилась практически первым подобным комплексным исследованием в нашей стране. Оно проводилось в г. Белово Кемеровской области. В этом городе имеется Беловский цинковый завод, построенный в 1930 г. В ходе обследования, проводившегося здесь в 1989 г., было установлено, что во всех половозрастных группах детей и подростков увеличено время на цвет и словесный раздражитель (В. Ю. Ярушкин, 1991). В 1996 г. исследование проводилось на детях 7–9 лет, проживающих в различных районах города. Психологическая часть работы, наряду с проводимым нами изучением тревожности, включала также оценку состояния высших психических функций детей. Исследование проводилось специалистами Санкт-Петербургской медицинской академии и имело своей задачей определение нейродинамических нарушений, нарушений высших форм регуляции, отдельных корковых функций. Данные сопоставлялись с результатами изучения детей г. Санкт-Петербурга, проживающих вблизи аккумуляторного завода, автомагистрали и в спальном районе города. Были установлены существенные нейродинамические нарушения, нарушения высших форм регуляции и корковых процессов у детей г. Белово, что проявлялось в увеличении времени реакции, сниженных показателях развития билатеральной координации и мелкой моторики, нарушении логической последовательности выполнения заданий. Тревожность определялась по детскому варианту шкалы тревожности Тейлор – CMAS (Шкала явной тревожности для детей…, 1994). Результаты сравнивались с данными, полученными нами при стандартизации методики в процессе ее стандартной психометрической проверки в 1991—1995 гг. Всего в исследовании участвовали 134 ребенка. Данные о среднем уровне тревожности (χ) и среднем квадратическом отклонении в выборке г. Белово и выборке стандартизации (контрольная группа) представлены в табл. 21. Результаты выражены в «сырых баллах». Таблица 21. Уровень тревожности детей г. Белово: средний уровень тревожности ( χ ) среднее квадратическое отклонение ( δ ). ![]() Достоверность различий: * – p < 0,05; ** – p < 0,009; *** – p < 0,001. Из табл. 21 видно, что и в выборке мальчиков, и в выборке девочек г. Белово средний уровень тревожности достоверно выше, чем в выборке стандартизации. Обращает на себя внимание также то, что в выборке девочек средний уровень тревожности достоверно ( p < 0,01) выше уровня тревожности мальчиков, что также отличается от данных контрольной группы. У детей 8–9 лет гендерных различий по этому параметру не выявилось. Количественное распределение испытуемых по уровню тревожности (в процентах), выраженному в стандартных баллах – стенах, в выборке г. Белово и выборке стандартизации представлено на рис. 1. На рисунке наглядно видно, что кривая распределения в выборке г. Белово сравнительно с выборкой стандартизации сдвинута вправо, т. е. в сторону показателей, свидетельствующих о более высоком уровне тревожности.![]() Рис. 1. Напомним, что детский вариант шкалы Тейлор дает возможность выделить группы испытуемых с различным уровнем тревожности. Их краткая характеристика представлена в табл. 22. Таблица 22. Характеристика уровней тревожности. ![]() Сопоставление данных о количестве испытуемых, имеющих тот или иной уровень в выборке г. Белово и контрольной группе, делает результат еще более наглядным (рис. 2). На рисунке видно, что в выборке стандартизации наибольшее количество испытуемых (более 70%) имеют наиболее адаптивный уровень тревожности – 2. В выборке г. Белово наиболее представлен уровень повышенной тревожности – 3. Обращает на себя также внимание значительная представленность в последней крайних показателей тревожности, свидетельствующих о наличии открытой, манифестируемой тревоги, находящейся на грани психологической нормы. Все различия достоверны. ![]() Рис. 2. Таким образом, данные свидетельствуют об определенной связи повышения тревожности с воздействием экологической обстановки. Этот вывод получил определенное подтверждение при сопоставлении данных об уровне тревожности детей, проживающих в различных районах г. Белово. Сравнивались две группы испытуемых: • дети, проживающие около завода (0,5–2 км от завода), в районах с высоким содержанием свинца в почве – 1-я группа; • дети, проживающие в так называемой «зеленой зоне» – (3,5 км от завода), в районах, где содержание свинца в почве было более чем в три раза меньше – 2-я группа. |
![Иллюстрация к книге — Психология тревожности: дошкольный и школьный возраст [Autogen_eBook_id26.jpg] Иллюстрация к книге — Психология тревожности: дошкольный и школьный возраст [Autogen_eBook_id26.jpg]](img/book_covers/049/49342/Autogen_eBook_id26.jpg)
![Иллюстрация к книге — Психология тревожности: дошкольный и школьный возраст [Autogen_eBook_id27.jpg] Иллюстрация к книге — Психология тревожности: дошкольный и школьный возраст [Autogen_eBook_id27.jpg]](img/book_covers/049/49342/Autogen_eBook_id27.jpg)
![Иллюстрация к книге — Психология тревожности: дошкольный и школьный возраст [Autogen_eBook_id28.jpg] Иллюстрация к книге — Психология тревожности: дошкольный и школьный возраст [Autogen_eBook_id28.jpg]](img/book_covers/049/49342/Autogen_eBook_id28.jpg)
![Иллюстрация к книге — Психология тревожности: дошкольный и школьный возраст [Autogen_eBook_id29.jpg] Иллюстрация к книге — Психология тревожности: дошкольный и школьный возраст [Autogen_eBook_id29.jpg]](img/book_covers/049/49342/Autogen_eBook_id29.jpg)