Книга Психодиагностика супружеских отношений, страница 14 – Елена Туник

Авторы: А Б В Г Д Е Ж З И Й К Л М Н О П Р С Т У Ф Х Ч Ш Ы Э Ю Я
Книги: А Б В Г Д Е Ж З И Й К Л М Н О П Р С Т У Ф Х Ц Ч Ш Щ Ы Э Ю Я
Бесплатная онлайн библиотека LoveRead.ec

Онлайн книга «Психодиагностика супружеских отношений»

📃 Cтраница 14
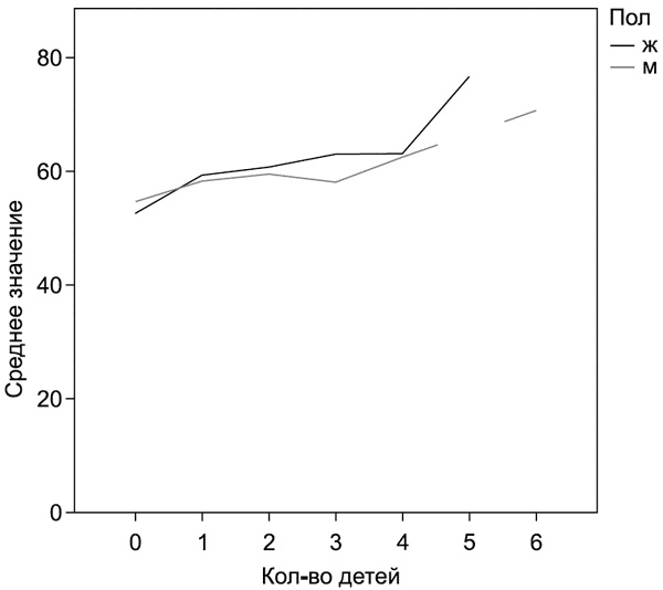
Иллюстрация к книге — Психодиагностика супружеских отношений [i_010.jpg]

Рис. 1. Зависимость среднего значения теста удовлетворенности супружескими отношениями от количества детей в семье


Поскольку распределения признаков «Пол», «Количество детей», «Стаж семейной жизни» не являются нормальными, для оценки достоверности различий по этим параметрам применялись непараметрические критерии:

– U-критерий Манна-Уитни;

– H-критерий Краскела-Уоллиса;

– T-критерий знаковых рангов Уилкоксона для связанных выборок.

Для иллюстрации и более наглядного представления взаимосвязей параметров теста (основного, полного и отдельно части III) и формальных анкетных данных респондентов был использован метод кластерного анализа, позволяющий визуализировать связи между параметрами, увидеть меру их близости, определить, какие объединения параметров мы можем выделить для дальнейшего изучения.

На рис. 2 мы можем видеть несколько групп параметров (в зависимости от выбора уровня отсечения, то есть масштабируемого расстояния между группами). В данном случае мы наблюдаем следующее.

1. Первый кластер – сильно связанная группа параметров «Возраст» и «Стаж семейной жизни», а также связанный с ними параметр «Количество детей».

2. Второй кластер – достаточно связанная двухуровневая группа «Тест Туник_Полный», «Туник ч3_проективная», «Тест Туник_Основной».

3. Третий кластер – состоящий из одного параметра «Пол».

Иллюстрация к книге — Психодиагностика супружеских отношений [i_011.jpg]

Рис. 2. Кластерный анализ параметров теста удовлетворенности супружескими отношениями с помощью метода межгрупповых связей


Очевидно, что первый и второй кластеры связаны между собой. Интересно, что пол является самым последним параметром, включаемым в общую группу, – это еще раз иллюстрирует тот факт, что значения теста от него зависят слабо.

Подводя итог, можно заключить следующее.

Выбранные и используемые методы (тестовая методика «Образ супруга(и)», разработанная Е. Е. Туник, а также математический аппарат) позволили достоверно определить уровень удовлетворенности супружескими отношениями в конкретных семьях, оценить зависимость удовлетворенности от различных факторов.

В дальнейшей практической работе можно использовать полный тест, тогда как в реальной работе с клиентами допустимо исключить третью (проективную рисуночную) часть из теста и рассматривать результат, полученный только на основе первых двух частей.

В ходе анализа результатов теста гипотеза о связи степени удовлетворенности семейной жизнью с полом, возрастом и стажем семейной жизни не подтвердилась и была отвергнута. Хотя небольшое падение удовлетворенности при большом стаже семейной жизни (45–50 лет) и было отмечено, оно является незначительным.

В ходе анализа результатов теста была подтверждена гипотеза о связи степени удовлетворенности семейной жизнью с количеством детей в семье. Слабая положительная статистически достоверная связь между этими параметрами с определенной долей вероятности позволяет утверждать, что чем больше детей в семье, тем выше степень удовлетворенности супружескими отношениями.

Сравнительный анализ степени удовлетворенности супружескими отношениями в венчанных и невенчанных супружеских парах

Приведем описание одного из наших самостоятельных исследований, целью которого было определение зависимости удовлетворенности супружескими отношениями от того, в каком браке состоят партнеры – венчанном или невенчанном.

В тестировании принимали участие 76 человек (38 супружеских пар), все – жители Санкт-Петербурга в возрасте от 18 до 62 лет, со стажем брака от одного года до 39 лет. Из 38 пар 20 состояли в венчанном и официально зарегистрированном браке, 14 – в невенчанном гражданском, 4 пары – в невенчанном незарегистрированном (фактическом).

В ходе тестирования была исследована зависимость удовлетворенности браком от возраста супругов, длительности супружеского стажа, наличия детей в браке, сексуальной удовлетворенности, профессии, статуса родительской семьи. Дополнительно к тесту «Образ супруга(и)» тестируемым предлагалось указать следующие параметры:

1) вероисповедание;

2) в каком браке состоят: официально зарегистрированный, венчанный, незарегистрированный;

3) профессия;

4) сексуальная удовлетворенность;

5) статус родительской семьи: полная/неполная. Полученные экспериментальные данные указывают на то, что у женщин и мужчин, находящихся в венчанном браке (ВБ), показатели удовлетворенности браком выше, чем у женщин и мужчин в невенчанном браке (НВБ). Различия по суммарным показателям небольшие, только качественные, но различия по первой части теста (информационной вербальной) являются статистически значимыми и позволяют делать соответствующие выводы. Кроме того, по результатам исследования было определено следующее.

Среди представителей группы ВБ удовлетворенность супружескими отношениями у женщин выше, чем у мужчин. В группе НВБ показатели женщин также выше, чем у мужчин. То есть в целом показатели удовлетворенности супружескими отношениями у женщин значимо выше, чем у мужчин.

Удовлетворенность браком практически не зависит от длительности супружеского стажа и незначительно снижается только на последнем отрезке, после 25 лет совместной жизни.

Значимая связь между удовлетворенностью супружескими отношениями и характеристикой полноты родительской семьи отсутствует.

Опрошенные, как ВБ, так и НВБ, не имеющие детей (равно как имеющие детей только от предыдущих браков), менее удовлетворены супружескими отношениями, чем те, у которых есть дети. Максимальные показатели удовлетворенности супружескими отношениями наблюдаются в венчанных парах, имеющих пятерых детей (90 баллов), и невенчанных, имеющих четырех детей (87,5 баллов). Эта связь наглядно представлена на рис. 3.

Иллюстрация к книге — Психодиагностика супружеских отношений [i_012.jpg]

Рис. 3. Зависимость удовлетворенности супружескими отношениями от количества детей в браке


В зависимости от профессии в большей степени удовлетворены супружескими отношениями испытуемые, состоящие в ВБ, при этом для испытуемых ВБ наивысший показатель удовлетворенности наблюдается у домохозяек и медработников, а наименьший – у представителей рабочих специальностей. Среди супругов НВБ наиболее удовлетворены супружескими отношениями педагоги и домохозяйки. Минимальная удовлетворенность супружескими отношениями характерна для охранников и тех, чья работа связана со спортивной сферой.

В большинстве случаев показатель зависимости удовлетворенности от возраста выше у ВБ, чем у НВБ. Наибольший показатель НВБ – до 30 лет, ВБ – до 40 лет. Чем старше тестируемые, тем ниже показатель удовлетворенности супружескими отношениями в обеих группах.

Реклама
Вход
Поиск по сайту
Ищем:
Календарь