Онлайн книга «Прокачай мозг методом Павла Дурова»
|
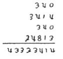
Три широких: грудь, лоб и переносица; Три узких: губы, … и щиколотки; Три полных: плечи, икры и …; Три тонких: пальцы, волосы и …; Три маленьких: соски, … и голова». Восстановите пропуски на месте многоточий. 42. Вскипятим чайники Король сказал своим трем незамужним дочерям поставить на плиту одновременно три одинаковых чайника с одинаковым количеством воды. У кого чайник закипит быстрее, у той муж и будет наследником короля. Быстрее закипел у младшей дочери, которая вообще не хотела замуж. Почему? 43. Поставим опыты на выживаемость Будем условно считать, что если человек не будет 7 суток есть или 7 суток спать, то он умрет. Пусть человек неделю не ел и не спал. Что он должен сделать в первую очередь к концу седьмых суток: поесть или поспать, чтобы остаться в живых? (Несмотря на шуточный характер, задача имеет строгое обоснованное решение). 44. Возведем лучших на пьедестал Какое животное занимает второе место после человека по количеству изображений на пьедесталах? Поможем шпионам прочесть шифровки 1. Прочитайте текст, приведенный ниже 94НН03 С006Щ3НN3 П0К4ЗЫ8437, К4КN3 У9-N8N73ЛЬНЫ3 83ЩN М0Ж37 93Л47Ь Н4Ш Р4ЗУМ! 8П3Ч47ЛЯЮЩN3 83ЩN! СН4Ч4Л4 Э70 6ЫЛ0 7РУ-9Н0, Н0 С3ЙЧ4С Н4 Э70Й С7Р0К3 84Ш Р4ЗУМ ЧN7437 Э70 4870М47NЧ3СКN, Н3 З49УМЫ84ЯСЬ 06 Э70М. Г0Р9NСЬ. ЛNШЬ 0ПР393Л3ННЫ3 ЛЮ9N М0ГУ7 ПР0ЧN747Ь Э70. 2. Зашифрованное слово На этой картинке изображено зашифрованное слово из пяти букв. Ваша задача – разгадать “шифр” и прочитать это слово: ![]() 3. Криптографическое сложение Можете ли вы проверить правильность сложения на рисунке? ![]() 4. Странное письмо БYЬR MГLOY HEBO KЬOED BNXЬN CHEWHЫE KЬYTR… Что за строчки? 5. Английские шпионы Во время Первой мировой войны два лучших европейских шпиона встретились в Англии, чтобы обменяться информацией. Они почему-то разговаривали по-русски, но вдобавок использовали еще и шифр. Вот их диалог. Первый шпион: “ЭД ПРУЛЗЦУЦТРЦКРМРСРЭРЬРНЪФОЪМСРЬР РОЛШЦА?” Второй шпион: “ЫЯ ЭД – ЮРУЭЯС! РФЯЧЯУРНГ, ВМРЗЪОМЩШСРЭРХВУЪФМОЦЗЪНФРХ ЭЧЮЦЭЯУФЦ.” Ваша цель – распознать этот шифр. 6. Прочитайте известное высказывание: ![]() 7. Задача от лектора На тренинге по искусству презентации лектор рассказывает о необходимости думать нешаблонно и чертит на доске три картинки: ![]() Выходит прекрасная девушка–менеджер и рисует фигуру: ![]() «Тааак…» – говорит лектор, – все правильно, а теперь объясните – почему?» Девушка объясняет: «Это дорожные знаки: первый – стрелка с направлением движения, второй – перевернутая рюмка, третий – перевернутая чашка с идущим от нее паром, наверное следующий знак будет вилка». Лектор впадает в недоумение: «Первый раз за шесть лет преподавания вижу, что абсолютно неправильные выводы приводят к совершенно правильному результату…». Так что на самом деле нарисовал лектор? 8. Какое слово здесь зашифровано? ![]() 9. Прочти между буквами зашифрованные названия стран Много я видел хорошо сложенных женщин, но эта меня потрясла: и плечи ее, и грудь, и талия, и бедра были, казалось, сработаны резцом Пигмалиона. Извозчик презрительно усмехнулся: мол, до вашей-то деревни рукой подать, а вы в телегу проситесь. А этот кот на диване разлегся, понимаешь, барином; ждет, видно, когда я принесу дань его милости – рыбку, да сметану, да курочку. Он спустился с лестницы – очень осторожно, чтобы не скрипели ступеньки, тайком вышел из дома и пошел к месту условленной встречи. Рапорт у Гали я взял, но сразу читать не стал, а отложил до вечера. Узнав, что жена и дочка на даче, он тут же поехал на вокзал. Загадки на внимательность. В этих предложениях скрыты шесть ..... Что же спрятано в этом тексте? 10. Какая буква лишняя в этом списке? Э Ы П В Р А Л О Д Ж Ф К 11. Странное равенство Объясните равенство, показанное на рисунке: ![]() 12. Какое слово здесь зашифровано? ![]() 13. Числа для агента разведки Агент разведки должен передать в Центр набор из четырех секретных чисел A, B, C, D (числа натуральные). Для большей секретности он отправил набор чисел A + B, A + C, A + D, B + C, B + D неизвестно в каком порядке. Центр, получив от агента числа 13, 15, 16, 20, 22, расшифровал сообщение и нашел требуемый набор из четырех секретных чисел. Какие это были числа? 14. Дополни “шифровку” Из имеющейся у вас “информации” добавьте недостающие числа. Логика в каждой строке одна и та же. ![]() 15. Угадайте одно слово Составьте одно слово из приведенного ниже набора букв: Л О С О Н Д О О В |
![Иллюстрация к книге — Прокачай мозг методом Павла Дурова [image25.jpg] Иллюстрация к книге — Прокачай мозг методом Павла Дурова [image25.jpg]](img/book_covers/045/45047/image25.jpg)
![Иллюстрация к книге — Прокачай мозг методом Павла Дурова [image26.jpg] Иллюстрация к книге — Прокачай мозг методом Павла Дурова [image26.jpg]](img/book_covers/045/45047/image26.jpg)
![Иллюстрация к книге — Прокачай мозг методом Павла Дурова [image27.jpg] Иллюстрация к книге — Прокачай мозг методом Павла Дурова [image27.jpg]](img/book_covers/045/45047/image27.jpg)
![Иллюстрация к книге — Прокачай мозг методом Павла Дурова [image28.jpg] Иллюстрация к книге — Прокачай мозг методом Павла Дурова [image28.jpg]](img/book_covers/045/45047/image28.jpg)
![Иллюстрация к книге — Прокачай мозг методом Павла Дурова [image29.jpg] Иллюстрация к книге — Прокачай мозг методом Павла Дурова [image29.jpg]](img/book_covers/045/45047/image29.jpg)
![Иллюстрация к книге — Прокачай мозг методом Павла Дурова [image30.jpg] Иллюстрация к книге — Прокачай мозг методом Павла Дурова [image30.jpg]](img/book_covers/045/45047/image30.jpg)
![Иллюстрация к книге — Прокачай мозг методом Павла Дурова [image31.jpg] Иллюстрация к книге — Прокачай мозг методом Павла Дурова [image31.jpg]](img/book_covers/045/45047/image31.jpg)
![Иллюстрация к книге — Прокачай мозг методом Павла Дурова [image32.jpg] Иллюстрация к книге — Прокачай мозг методом Павла Дурова [image32.jpg]](img/book_covers/045/45047/image32.jpg)
![Иллюстрация к книге — Прокачай мозг методом Павла Дурова [image33.jpg] Иллюстрация к книге — Прокачай мозг методом Павла Дурова [image33.jpg]](img/book_covers/045/45047/image33.jpg)