Онлайн книга «Педагоги шутят тоже... Только строже»
|
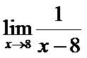
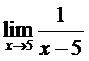
— Вот как ты думаешь, какова вероятность, что мы, дойдя до Красной площади, встретим… динозавра? — Ноль, конечно, отвечает первокурсник. — А вот и нет, — говорит второкурсник, — ½, что встретим, и ½, что не встретим, а полная вероятность должна быть равна 1. * * * Следующий эпизод имел место на математико-механическом факультете Ленинградского университета в конце 1960-х гг. Два преподавателя, один из которых имел искусственный глаз, а другой — протез ноги, принимали экзамен. Преподавателю без ноги понадобилось выйти, и второй преподаватель, желая пошутить, сказал: «Ну, ты давай быстро, одна нога здесь, другая — там». На что тут же последовал ответ: «Ладно, а ты тут смотри в оба». (Юля, ИМ) * * * В группе учился парень-заика. Заикался не очень сильно, но когда надо было для дела, подыгрывал. Парнишка был с чувством юмора. Очередной экзамен по высшей математике. Экзамен принимает камикадзе математики женского пола — просто так не проскочишь. Заходит парень в аудиторию, отдает зачетку, берет билет и вынимает из сумки батон хлеба, какую-то консерву и нож. Кладет это все перед удивленной женщиной. — Это что? — удивленно спрашивает она. Парень начинает говорить, очень сильно заикаясь: — Б-б-б-б-б-и-л-л-лет с-с-с-с-с-слож-ж-ж-ж-ж-ж-н-н-н-ный. П-п-п-п-п-по-к-к-к-ка з-з-з-з-з-законч-ч-ч-ч-чу от-т-т-твеч-ч-ч-чать, Вы п-п-п-п-рог-г-г-г-г-г-г-голод-д-д-дает-т-тесь. Тетенька долго смеялась и поставила парню «хор». (Саша, ИН) * * * На мехмате деканом сейчас отбывает Олег Лупанов. Ведет дискретную математику с матлогикой. Он маленького роста, около 1 м 50 см. И вот после пары народ пулей летит в лифт и его моментально заполняет. А в углу лифта, закрытый широкими спинами студентов, стоит декан Лупанов. И вот кто-то подбегает к набитому лифту и кричит: — Ну подвиньтесь! Там ведь в углу пустое место! Все улыбаются. А из того угла раздается голос: — Я не пустое место! Я ваш декан! (Н. Сергунов, ИН) * * * Один педантичный профессор имел обыкновение говорить: «…полином 4-й степени ах4 + bx3 + сх2 + dx + е, где е — не обязано быть основанием натуральных логарифмов, но может им быть». (Цит. по кн.: [Федин, 2010. С. 17] * * * В Российском университете дружбы народов студентка на экзамене получила в решении своей задачи ln0 = е. Преподаватель говорит: «Ошибка. Логарифм нуля не определен». Но студентка, достав калькулятор и набрав там In 0, показывает ему ответ на экране: Е [21] . * * * На экзамене в одном из университетов США преподавательница предлагает студенту найти предел функции
Студент молчит. Тогда она мягко подсказывает (из соображений «политкорректности» укорять студентов в США запрещено под угрозой увольнения): — Смотрите, это ведь так просто:
— Я, кажется, понял, в чем тут дело, — радостно восклицает студент и пишет: ![]() ![]() (Пересказ по кн.: [Федин и др., 2010. С. 45]) На экзамене студент, дифференцируя функцию двух переменных, повторяет несколько раз термин «круглоед». Преподавательница недоуменно спрашивает: — А это еще что такое? — А это из Ваших лекций, — уверенно отвечает студент. — Это есть у меня в конспекте. Покажите! После разбора выясняется, что первая лекция по частным производным была студентом пропущена, а потом списана у отличницы из их группы. У нее в рукописи пояснялось, что для отличия от полной производной, обозначаемой через d прямое, частную производную принято обозначать через круглое д. В записи у студентки промежуток перед д был невелик, и вот у переписчика получился круглоед. (Пересказ по кн.: [Федин и др., 2010. С. 24]) — Я сдаю жилплощадь по цене 10 центов или 0,1 долл. за 1 кв. метр на человека — объявила хозяйка обратившемуся к ней клиенту математику. — <…> Прекрасно! Но я хотел бы поселиться здесь вместе со своей женой. — В таком случае ставка возводится в квадрат. И Вы должны будете платить не 10, а 100 центов за 1 кв. метр, т. е. 1 долл. — Но позвольте, — возразил математик, — в таком случае я буду платить (0,1)2= 0,01 долл. за 1 кв. метр, т. е. один цент! Кто из них прав? (Пересказ по кн.: [Жуков и др., 2005]) Слово «эллипс» с тремя ошибками Несмотря на то что в начале темы о кривых второго порядка я всегда подчеркиваю, как надо правильно писать слово эллипс, многие, сдавая домашние задания, пишут его с одним л: элипс. Но бывают и случаи, правда, редко, когда пишут с двумя ошибками: элепс. А однажды мальчик из Якутии умудрился написать это слово аж с тремя ошибками: елепс. (Рассказ Б. Г.) С. Н. Федин сообщает о других забавных ошибках. «Один студент назвал параболоид эпилептическим (вместо эллиптического), гиперболоид однополым, (вместо однополостного). Другой студент назвал гиперболоид второго типа двухлопастным (вместо двухполостного). Дисперсию одна студентка поименовала депрессией». [Федин и др., 2010. С. 46–47, 56] В той же книге С. Н. Федина (2009, С. 55) упоминается еще одна из словотворных нелепостей: «интеграл Люмбаго». Так его поименовала студентка матфака педагогического университета. Она имела в виду интеграл Лебега, который упоминался у них в курсе матанализа. Больше он ей в жизни не встречался, но, видимо, встречался медицинский термин люмбаго, означающий невралгию (прострел). А я из нелепых искажений терминов математического анализа, переводимых студентами в термины медицинского анализа, вспоминаю, как одна из моих студенток назвала гармонический ряд гормональным. |
![Иллюстрация к книге — Педагоги шутят тоже... Только строже [img8736.jpg] Иллюстрация к книге — Педагоги шутят тоже... Только строже [img8736.jpg]](img/book_covers/044/44582/img8736.jpg)
![Иллюстрация к книге — Педагоги шутят тоже... Только строже [img687E.jpg] Иллюстрация к книге — Педагоги шутят тоже... Только строже [img687E.jpg]](img/book_covers/044/44582/img687E.jpg)
![Иллюстрация к книге — Педагоги шутят тоже... Только строже [imgD126.jpg] Иллюстрация к книге — Педагоги шутят тоже... Только строже [imgD126.jpg]](img/book_covers/044/44582/imgD126.jpg)
![Иллюстрация к книге — Педагоги шутят тоже... Только строже [img59B8.jpg] Иллюстрация к книге — Педагоги шутят тоже... Только строже [img59B8.jpg]](img/book_covers/044/44582/img59B8.jpg)
![Иллюстрация к книге — Педагоги шутят тоже... Только строже [imgC147.jpg] Иллюстрация к книге — Педагоги шутят тоже... Только строже [imgC147.jpg]](img/book_covers/044/44582/imgC147.jpg)