Книга Полный медицинский справочник фельдшера, страница 206 – П. Вяткина

Авторы: А Б В Г Д Е Ж З И Й К Л М Н О П Р С Т У Ф Х Ч Ш Ы Э Ю Я
Книги: А Б В Г Д Е Ж З И Й К Л М Н О П Р С Т У Ф Х Ц Ч Ш Щ Ы Э Ю Я
Бесплатная онлайн библиотека LoveRead.ec

Онлайн книга «Полный медицинский справочник фельдшера»

📃 Cтраница 206

Значение

Содержание мочевины увеличивается при острых и хронических заболеваниях почек, протекающих с нарушением их функции; при снижении почечной перфузии вследствие шока, застойной сердечной недостаточности, обезвоживания при рвоте, поносе, повышенном диурезе или потоотделении; при усиленном катаболизме белка в случае острого инфаркта миокарда, ожоговой болезни, стресса; при диете с высоким содержанием белка.

Содержание мочевины снижается при недостаточном белковом питании, при повышенной утилизации белка в поздние сроки беременности, у детей в возрасте до года, при акромегалии, парентеральном питании, тяжелых заболеваниях печени, отравлении лекарствами, при нарушении всасывания.

Креатинин

Креатинин является конечным продуктом азотистого обмена.

Суточное выделение креатинина для каждого человека зависит от его мышечной массы и является довольно постоянной величиной.

В качестве унифицированного утвержден метод, основанный на реакции Яффе в модификации Поппера.

Нормальные величины

В сыворотке крови: у мужчин – 44-100 мкмоль/л; у женщин – 44–88 мкмоль/л.

Значение

За сутки с мочой выводится 4,4-17,7 ммоль креатинина.

Уровень креатинина возрастает при нарушении функции почек любого происхождения, активной акромегалии и гигантизме, гипертиреозе; при приеме аскорбиновой кислоты, фуросемида, глюкозы, стрептомицина, рентгеноконтрастных средств, содержащих йод.

Креатинин не является чувствительным показателем функционального состояния почек в начальной стадии хронической почечной недостаточности, однако увеличение его уровня может произойти еще до повышения содержания мочевины и остаточного азота.

Проба Реберга

Одновременное определение у одного и того же пациента концентрации креатинина в крови и моче значительно расширяет возможности исследования функционального состояния почек. В клинической практике для определения величины фильтрации и реабсорбции чаще всего используется проба Реберга.

Для проведения пробы собирают мочу в течение четко обозначенного интервала времени (2, 4, 12 или 24 ч). Во время проведения пробы больной не должен принимать мясную пищу, кофе, чай, лекарства, а также АКТГ, кортизон, тироксин до и во время проведения теста. Количество принимаемой жидкости должно быть не менее 1,5–2 л, чтобы минутный диурез составил 2 мл/мин и более.

Взятие крови осуществляют в середине периода сбора порционной мочи. Нужно точно указать объем мочи, время, в течение которого она собрана, время, когда взята кровь. При сборе суточной мочи кровь берется в конце сбора мочи. Также необходимо указать рост и вес пациента для расчета поверхности тела.

В моче и крови определяют содержание креатинина и по формуле рассчитывают уровень фильтрации и реабсорбции.

Иллюстрация к книге — Полный медицинский справочник фельдшера [Autogen_eBook_id71.jpg]

где F – фильтрация;

U – концентрация креатинина в моче;

V – объем мочи в мл, отнесенный к минуте;

S – концентрация креатинина в сыворотке;

BSA – площадь поверхности тела в м2 (определяется по номо грамме).

Референтные пределы, метод Яффе:

1) 1–2 месяца – более 54 мл/мин/1,73 м2;

2) 3-12 месяцев – более 64 мл/мин/1,73 м2;

3) 3-13 лет – более 120 мл/мин/1,73 м2;

4) взрослые – более 95 мл/мин/1,73 м2.

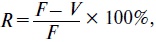
Канальцевая реабсорбция (R) определяется по формуле:

Иллюстрация к книге — Полный медицинский справочник фельдшера [Autogen_eBook_id72.jpg]

где F – фильтрация клубочковая, мл/мин; минутный диурез – количество мочи / количество минут (время, за которое собрана моча);

V – минутный диурез.

В норме R = 99 %.

Варианты патологии клубочковой фильтрации:

1) более 120 мл/мин – ранние этапы сахарного диабета, гипертонической болезни, нефротического синдрома;

2) 85–30 мл/мин – умеренное снижение функции почек как настораживающий фактор при подозрении на почечную недостаточность;

3) 60–15 мл/мин – почечная недостаточность от компенсированной стадии до субкомпенсированной стадии;

4) менее 15–10 мл/мин – почечная недостаточность в стадии декомпенсации.

Варианты патологии канальцевой реабсорбции

Канальцевая реабсорбция выше 99,6 % говорит о различных видах гиповолемических состояний, менее 98 % – о нарушении функции канальцев (пиелонефрит, врожденные аномалии, интерстициальный нефрит, гломерулонефрит, почечная недостаточность).

Мочевая кислота является продуктом распада пуриновых нуклеотидов, входящих в состав нуклеиновых кислот, макроэргических соединений, некоторых витаминов. Величина экскреции мочевой кислоты с мочой зависит от присутствия пуринов в пище: при обычной диете с мочой ежедневно выделяется до 0,7 г мочевой кислоты, при богатой пуринами диете – до 1 г.

В КДЛ для определения содержания мочевой кислоты используют в основном химический колориметрический и ферментативный методы.

Принцип колориметрического метода

Мочевая кислота восстанавливает фосфорно-вольфрамовый реактив с образованием комплекса голубого цвета. Интенсивность окраски пропорциональна концентрации мочевой кислоты.

Принцип ферментативного метода

Уриказа окисляет мочевую кислоту до аллантоина в соответствии с реакцией. Мочевая кислота + 2Н2О + С2 – уриказа аллантоин + 2Н2О2 + СО2. Аллантоин не поглощает свет с длиной волны 293 нм, поэтому убыль оптической плотности смеси пропорциональна концентрации в ней мочевой кислоты.

Нормальные величины

В сыворотке крови у мужчин – 0,24-0,5 ммоль/л, у женщин – 0,16-0,4 ммоль/л.

Определение содержания мочевой кислоты в крови имеет большое диагностическое значение при подагре и почечной недостаточности. Гиперурикемия может наблюдаться также при лечении цитостатическими препаратами, злоупотреблении алкоголем, при голодании.

Лабораторная диагностика нарушений углеводного обмена В крови находится ряд углеводов, из которых самым важным является глюкоза. Ее концентрация в крови здорового взрослого человека составляет 3,33-5,55 ммоль/л. Из других углеводов, содержащихся в крови, следует отметить гликоген – 16,2-31,7 мг/л, фруктозу – 5,55–27,75 мкмоль/л, пентозу – 0,12-0,22 ммоль/л, другие полисахариды – около 1,8 г/л. Под «сахаром крови» в узком смысле слова подразумевают только глюкозу.

Глюкоза

Для определения глюкозы в крови предложено много методов, которые условно можно разделить на 3 группы.

Реклама
Вход
Поиск по сайту
Ищем:
Календарь