Книга Когда уйдет Путин?, страница 50 – Лев Сирин

Авторы: А Б В Г Д Е Ж З И Й К Л М Н О П Р С Т У Ф Х Ч Ш Ы Э Ю Я
Книги: А Б В Г Д Е Ж З И Й К Л М Н О П Р С Т У Ф Х Ц Ч Ш Щ Ы Э Ю Я
Бесплатная онлайн библиотека LoveRead.ec

Онлайн книга «Когда уйдет Путин?»

📃 Cтраница 50

С учетом того, что дееспособность фирмы «Джикоп» должна быть подвергнута серьезнейшему сомнению, что санкции по договору ничтожны, вполне допустим вариант самоликвидации фирмы после вывоза металлов за рубеж и оседания всей выручки на счетах иностранных банков.

7. Выводы.

7.1. Комитетом по внешним связям мэрии Санкт-Петербурга не соблюдены важнейшие условия, гарантирующие осуществление любого из подписанных договоров:

– не получено подтверждение квот на выделенные ресурсы от Министерства экономики и финансов России (п. 5.2.1);

– лицензии выданы фирмам-посредникам до предоставления ими контрактов на проведение бартерной сделки, что не гарантирует наличие у этих фирм, выступавших в качестве экспортеров, необходимых ресурсов (п. 5.2.2);

– КВС мэрии не отработано должным образом его право на выдачу лицензий, которое не подтверждено в дальнейшем Заместителем Председателя Правительства РФ Е.Т. Гайдаром (п. 5.2.3)

7.2. Большинство договоров и приложения к ним, подписанные КВС мэрии, являются юридически ущербными и могут быть признаны недействительными. Это подтверждается, в частности, следующим:

– в договорах не соблюдены нормы конвенции ООН и ГК РСФСР, но определен предмет заключенных договоров, они характеризуются правовой неопределенностью, не содержат необходимых условий, которые в своей совокупности создавали бы технико-юридический механизм, гарантирующий выполнение контрагентами своих обязательств, а в случае их невыполнения – возмещение убытков и неполученного дохода (п. 5.6);

– многие договора и особенно приложения к ним оформлены без соблюдения общепринятых юридических норм (п.п. 5.3, 5.5 и др.).

7.3. Все лицензии, выданные КВС мэрии, следует признать незаконными, так как они выданы в нарушение установленного Правительством РФ порядка (п. 5.2.3) и без предоставления экспортерами (посредниками) определенных законодательством необходимых данных (п. 5.4).

7.4. В действиях председателя КВС т. Путина В.В. и его заместителя т. Аникина А.Г. просматривается особая заинтересованность в заключении договоров и выдаче лицензий определенным фирмам и лицам. Об этом свидетельствует:

– отсутствие своевременной информации для широких кругов предпринимателей города о наличии в распоряжении мэрии квот на большие объемы нефтепродуктов, лесоматериалов, металлов и др. и о работе КВС по выдаче лицензий, что к тому же является нарушением Постановления Правительства РФ от 31.12.91 № 90;

– подписание договоров с фирмами, большинство из которых не известны как серьезные коммерческие структуры, имеющие достаточный опыт в экспортно-импортных операциях, но которые в то же время имеют либо тесные связи с чиновниками мэрии, либо созданы незадолго до подписания договоров (п. 6.2) и все являются фирмами-посредниками;

– отсутствие единого подхода у КВС мэрии при установлении штрафных санкций и валютных отчислений («комиссионных») при наличии явно «распределительного» характера этих позиций договоров: ничтожные штрафные санкции при минимальных комиссионных по одной группе договоров и значительные санкции при максимальных комиссионных – по другой (п.п. 5, 5.1, 6.3, табл. 2);

– юридическая необеспеченность договоров, которая позволяет фирмам-посредникам уклониться от взятых на себя обязательств без особого ущерба для себя;

– наличие в договорах, кроме уже приведенных, односторонних льгот и преференций в отношении контрагентов мэрии при фактическом игнорировании интересов города;

– выдача лицензий до заключения договоров (п. 4.2);

– демпинговые цены на редкоземельные металлы (п. 6.7.2);

– несвоевременное и неполное представление документов по официальным запросам, что может объясняться желанием скрыть истинное положение дел, запутать и затянуть расследование в бесконечных перепроверках фактов.

7.5. КВС мэрии по существу принял на себя несвойственные ему функции оптовой организации (п. 6.5.2), не имея в то же время ценовой политики как по экспортно-импортным операциям, так и по продаже продовольствия за рубли (п. 6.4).

7.6. Председатель КВС мэрии т. Путин В.В. и его заместитель т. Аникин А.Г. проявили полную некомпетентность, граничащую с недобросовестностью, при составлении договоров, лицензий, иных документов, беспрецедентную халатность и безответственность при представлении документов депутатской группе, что подтверждается многочисленными расхождениями данных в разных документах (п. 4).

7.7. Мэр и председатель КВС не отвечали либо отвечали несвоевременно или не по существу вопросов на депутатский запрос, запросы Председателя горсовета, зам. представителя Президента России, грубо нарушая тем самым действующее законодательство. Прокуратурой города не было предпринято никаких мер по пресечению этих действий.

7.8. Основная задача, поставленная перед КВС мэрии Санкт-Петербурга, – обеспечение существенных поставок в город продовольствия в первом квартале 1992 г. не выполнена.

8. Рекомендации.

8.1. Передать материалы, подготовленные рабочей депутатской группой, в прокуратуру города.

8.2. Отстранить Путина В.В., Аникина А.Г. от занимаемых должностей.

8.3. При назначении нового руководителя КВС мэрии председателем Совета согласовать кандидатуры с мэром города.

8.4. Изъять у КВС мэрии и других комитетов мэрии право на ведение коммерческой деятельности.

8.5. Дальнейшую реализацию квот и лицензий проводить в строгом соответствии с Постановлением Правительства РФ от 31.12.91 г., а также по согласованию с Комитетом по международным и внешнеэкономическим связям горсовета.

23.03.92 г.

Народный депутат РФ и Санкт-Петербургского Горсовета М.Е. Салье

Народный депутат Санкт-Петербургского горсовета Г.П. Гладков

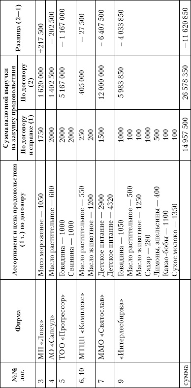
Таблица 1

Сопоставление данных справки (прил. 16) и договоров №№ 3—6, 9, 10 по ценам и объемам продовольствия с суммой валютной выручки на продовольствие (в долларах США)

Иллюстрация к книге — Когда уйдет Путин? [_1.jpg]

Таблица 2

Санкции, предусмотренные договорами относительно поставщика (получателя лицензии) за невыполнение его обязательств

Иллюстрация к книге — Когда уйдет Путин? [_2.jpg]

Таблица 3

Оценка цен на редкоземельные металлы по договору № 11 между КВС мэрии и фирмой «Джикоп» (прил. 29)

Иллюстрация к книге — Когда уйдет Путин? [_3.jpg]

1. Цена на скандий в соответствии с договором № 11 (приложение 1) составляет 72,6 DEM/кг. На специальный запрос по цене скандия получен ответ за подписью зам. Председателя КВС мэрии, подтверждающий эту цифру (прил. 31). Учитывая это, сумма стоимости скандия составляет не 1 425 000 DEM, а 508,2 DEM;

Реклама
Вход
Поиск по сайту
Ищем:
Календарь