Книга Радуга тяготения, страница 49 – Томас Пинчон

Авторы: А Б В Г Д Е Ж З И Й К Л М Н О П Р С Т У Ф Х Ч Ш Ы Э Ю Я
Книги: А Б В Г Д Е Ж З И Й К Л М Н О П Р С Т У Ф Х Ц Ч Ш Щ Ы Э Ю Я
Бесплатная онлайн библиотека LoveRead.ec

Онлайн книга «Радуга тяготения»

📃 Cтраница 49

Булавка? и не булавка даже, а булавочный укол в бумаге, которую однажды сдерут — когда ракеты перестанут падать или молодой статистик решит бросить счет, — бумага, которую уборщицы уволокут, порвут, сожгут… Стрелман один, беспомощно чихает в своем гаснущем отделе, лай на псарне уже безжизнен и прибит холодом, трясет головою — нет… во мне, в моих воспоминаниях… не просто «факт»… общая наша смертность… эти трагические дни… Но теперь его трясет, он дозволяет себе через весь кабинет взглянуть на Книгу, припомнить, что из первоначальных семи осталось лишь двое владельцев, он да Томас Гвенхидви, что выхаживает своих бедняков аж за Степни. Пять призраков выстраиваются в явную эскалацию: Пумм — на джипе, авария, Остерлинга рано забрал налет люфтваффе, Дромона — германская артиллерия на Обстрельном углу, Фонарера — «жужелица», а теперь Кевин Спектро… авто, бомба, пушка, V-1, а теперь V-2, и Стрелман ничего не чувствует, кроме ужаса, кожа ноет везде, ибо изощренность нарастает, ибо тут, видимо, подразумевается диалектика…

— Ага, ну да. Проклятие мумии, идиот. Господи, господи, да мне уже в Крыло Д пора.

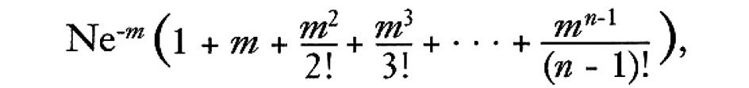
Ну вот, а Крыло Д — это крыша «Белого явления», там до сих пор содержится пара-тройка настоящих пациентов. Мало кто из ПИСКУС к нему приближается. Костяку нормального больничного персонала полагается своя столовка, сортиры, квартиры, кабинеты — работают, как при старом мире, терпят промеж себя Этих Других. А ПИСКУС, со своей стороны, терпит садик или мирное безумие Крыла Д, лишь изредка находя возможность обменяться данными о лечении или симптомах. Ну да, вроде как ожидаешь связей потеснее. Истерия — это же, в конце концов, — не так, что ли? — истерия. Так вот, нет, выясняется, что не так. Как убеждать себя подолгу, что превращение это легитимно и естественно? От таких мелких, таких домашних заговоров, от змеи, что свернулась в чайной чашке, от обездвиженной руки или взгляда, отведенного при словах, словах, которые настолько пугают, — к тому, что Спектро каждодневно видел в своем отделении, ныне уничтоженном… к тому, что Стрелман видит в Собаках Петре, Наташе, Николае, Сергее, Катеньке — или в Павле Сергеевиче, Варваре Николаевне и их детях, и… Когда оно так ясно читается в лицах врачей… Гвенхидви в своей пушистой бороде не бывает равнодушен, как ему бы хотелось, Спектро сбивается с ног, несет шприц для Лиса, но на самом деле ничто не прекратит Абреакцию Повелителя Ночи, пока не прекратят Блиц, не демонтируют ракеты, все кино не прокрутят назад: выбеленная кожа — обратно в листовую сталь, в чугунные чушки, в белое каление, в руду, в Землю. Однако реальность необратима. Всякое соцветье огня, за коим следует взрыв, а затем рев прибытия, — насмешка (и разве может быть, что нечаянная?) над обратимым процессом: всякий раз Повелитель узаконивает свое Государство, и мы, кто не в силах его найти, даже увидеть, уже думаем о смерти не чаще, если честно, нежели раньше… и, без предупреждения об их прибытии, не в состоянии их сбить, притворяемся, будто живем, как в безблицые времена. Когда оно происходит, нам довольно обозвать это «случайностью». Или же нам внушили. Да, есть уровни, где случайность вообще едва признаётся. Но для всяких сотрудников вроде Роджера Мехико это — музыка, не лишенная величия, этот степенной ряд

Иллюстрация к книге — Радуга тяготения [i_001.jpg]
, элементы нумерованы в соответствии с падениями ракет на квадрат, Пуассоново распределение правит не только этими уничтожениями, которых никому не избегнуть, но равно несчастными случаями в кавалерии, анализами крови, радиоактивным распадом, числом войн в год…

Стрелман замер у окна, его смутно отраженное лицо продуваемо снегом, гонимым снаружи в темнеющем дне. Далеко за холмами плачет паровозный свисток, шершавый, как поздний туман: петушиная зорька —.—.——, долгий свисток, опять крик, огонь у путей, ракета, еще ракета, в лесах иль долинах…

Ну, в общем… Отчего бы тогда не отречься от Книги, Нед, плюнуть и все, устаревшие данные, редкие поэтические мгновенья Учителя, это же бумага, делов-то, на кой тебе — и Книга, и ее страшное проклятие… пока не поздно… Да, откажись, попресмыкайся — ой, великолепно — только вот перед кем? Кто слушает? Однако он снова подходит к столу и прямо-таки возлагает на нее руки…

— Болван. Суеверный болван. — Бродит, пустоголовый… такие эпизоды теперь наваливаются чаще. Его закат подкрадывается, как простуда. Пумм, Остерлинг, Дромон, Фонарер, Спектро… вот что надо было сделать, сходить в Отдел Пси, попросить Эвентира учинить сеанс, хоть до кого-то попробовать достучаться… может быть… да… Что его удерживает? — Неужто я, — снова шепчет он в стекло, с придыханием, последние взрывные согласные затуманивают холодное окно веерами дыхания, теплого, безутешного дыхания, — так горд? — Никак невозможно, ему невозможно пройти по этому вот коридору, и намекнуть невозможно, даже Мехико, как ему их не хватает… хотя он был едва знаком с Дромоном или Остерлингом… но… не хватает Аллена Фонарера, который, знаете, готов был биться об заклад о чем угодно, о собаках, грозах, трамвайных номерах, о ветре на углу и какая, скорее всего, будет юбка, и как далеко пролетит эта, скажем, «жужелица», пожалуй… о господи… даже эта, которая на него упала… Пуммов кабинетный рояль и пьяный баритон, интрижки с медсестрами… Спектро… Отчего ж невозможно попросить? Когда есть сотня способов сказать…

Надо бы… надо было… В его истории так много несделанных ходов, так много «надо было» — надо было на ней жениться, чтоб ее отец им руководил, надо было остаться на Харли-стрит, быть добрее, чаще улыбаться чужим людям, даже днем сегодня улыбнуться Моди Чилкс… чего ж он не смог? Дурацкая, черт возьми, улыбочка, почему нет, что подавляет, что за путаница в мозаике? За этими казенными очками — красивые янтарные глаза… Женщины его избегают. В общем и целом он знает, в чем дело: он жуткий. Обычно он даже сознает те минуты, когда жуток, — некое напряжение лицевых мускулов, склонность потеть… но он, пожалуй, не в силах ничего с этим сделать, не в силах даже сосредоточиться надолго, чтоб хватило, они его так отвлекают — и опа, он опять излучает эту свою жуть… а их реакция предсказуема, они бегут, исторгая вопли, что слышны только им — и ему. Ох, но как хочется ему однажды дать им повод завопить по правде…

А вот и стояк копошится, нынче Стрелман опять убаюкает себя дрочкой. Безрадостная константа, атрибут его бытия. Но раззадоривая его, перед самым ослепительным пиком — какие примчатся картины? Ну как же — башенки и голубая вода, паруса и церковные маковки Стокгольма — желтая телеграмма, лицо высокой, компетентной и прекрасной женщины, обернувшись, следит, как он проезжает мимо в церемониальном лимузине, — женщины, что позже и вряд ли нечаянно посетит его в номере «Гранд-отеля»… не всё же, понимаете ли, рубиновые соски и черные кружавчики граций. Приглушенные вступления в комнаты, что пахнут бумагой, сопутствующее голосование в таком или сяком Комитете, Кафедры, Премии… что может сравниться! Вот подрастешь — тогда узнаешь, говорили ему. Да, и оно давит, каждый военный год равен дюжине мирных, ох батюшки, как они были правы.

А его везенье давно известно, его подкорковое, скотское везенье, дар выживания, а прочих, лучших, тем временем крадут в Смерть, и вот она, дверца — дверца, которую он так часто воображал в одиноких Тесеевых шатаниях лощеными коридорами лет: выход из ортодоксально-павловского, что являет ему виды Норрмальма, Сёдермальма, Оленьего парка и Старого города…

Реклама
Вход
Поиск по сайту
Ищем:
Календарь