Книга Китайский Шерлок Холмс. Комплект из 2 книг, страница 16 – Ши Чень

Авторы: А Б В Г Д Е Ж З И Й К Л М Н О П Р С Т У Ф Х Ч Ш Ы Э Ю Я
Книги: А Б В Г Д Е Ж З И Й К Л М Н О П Р С Т У Ф Х Ц Ч Ш Щ Ы Э Ю Я
Бесплатная онлайн библиотека LoveRead.ec

Онлайн книга «Китайский Шерлок Холмс. Комплект из 2 книг»

📃 Cтраница 16

Дочитав отчет, я с радостью сказал Чэнь Цзюэ:

– Вот ведь как! В Китае убийцу обязательно поймают. Хотел обмануть опытных полицейских из уголовного розыска? Пустое это дело!

Внезапно Чэнь Цзюэ не согласился со мной:

– Методы уголовной полиции примитивны, к тому же в них нет упора на логику. Там больше предпочитают опираться на схожие дела. Конечно, опытный полицейский часто способен раскусить преступника сразу, однако и он не застрахован от промаха. Если же брать за основу научный метод, то вероятность совершить ошибку снижается во много раз.

– Но ты не можешь отрицать, что у них получилось! – Я передал газету Чэнь Цзюэ. – Они нашли в доме убийцы кучу улик. Вдобавок преступник самолично признался в злодеяниях.

Чэнь Цзюэ взял газету с холодной усмешкой:

– Я раскрыл это дело.

– Что?! – Я подумал, он шутит.

– Говорю, я раскрыл это дело. На прошлой неделе ко мне обратился капитан городского управления уголовного розыска Сун Босюн и предложил мне поучаствовать в совещании. И я поделился с ними кое-какими замечаниями.

Чэнь Цзюэ опустил голову и принялся за еду, будто говорил о совершенно рядовых вещах.

– Я знаю, что ты умен, но это чересчур странно, не находишь? Зачем они пригласили тебя на встречу?

– Спроси их. Когда мне позвонил капитан Сун, он сказал: мол, профессор, нам крайне необходима ваша помощь. Как бы то ни было, мне тогда было нечем заняться, и поэтому я поехал к ним. В общем, получил я обещанное вознаграждение, на первое время хватит.

Было не похоже на то, что Чэнь Цзюэ лжет. Или же его актерская игра исключительно хороша?

– Профессор?.. Ты что, профессор?

– И да, и нет. – Он взял со стола бокал красного вина и сделал глоток.

– Как такое может быть, что ты раскрыл дело? Какие советы ты им дал?

Я всю жизнь не мог терпеть лжецов, и, несмотря на то что мы с Чэнь Цзюэ слишком мало общались, мне и в голову не могло прийти, чтобы он вдруг оказался пустомелей. Да как вообще служба уголовного розыска допустила простого смертного до расследования убийства? Мы же не в детективном романе!

Поэтому я намеревался расспрашивать его о мельчайших подробностях до тех пор, пока он не признается в том, что подшутил надо мной.

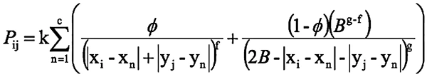
Видя мой серьезный настрой, Чэнь Цзюэ отложил столовые приборы. Поднявшись, он подошел к доске и написал на ней сложную формулу:

Иллюстрация к книге — Китайский Шерлок Холмс. Комплект из 2 книг [i_006.webp]

– Что это?

– Формула Россмо. Математическая модель анализа преступления, – пояснил Чэнь Цзюэ. – Надо лишь внести несколько детализированных параметров, и тогда мы сразу вычислим местонахождение преступника.

– Как же…

Не обращая внимания на мою реакцию, Чэнь Цзюэ продолжил объяснять:

– Если ты при наличии конкретных материальных условий прибегнешь к математике, нужно лишь правильно провести расчеты, и тогда математика приведет тебя к верному ответу. Серийный убийца всегда выбирает подходящую, по его мнению, точку для совершения преступления, пытаясь скрыть место своего пребывания. Тем не менее эта формула способна выявить всю подноготную и с высокой вероятностью определить пристанище убийцы, превращая поиск иголки на дне морском в поиск иголки на дне чашки. Хань Цзинь, если тебе интересно, я с радостью объясню тебе принцип расчета формулы Россмо.

Я замахал рукой в знак отказа:

– Не стоит, я гуманитарий. Так с помощью этой формулы ты вычислил адрес убийцы?

Реклама
Вход
Поиск по сайту
Ищем:
Календарь