Онлайн книга «Упорство. Как развить в себе главное качество успешных людей»
|
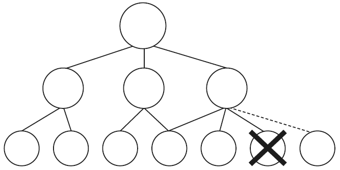
Поэтому представление, что каждая минута нашей жизни должна быть посвящена одной высшей цели, является во многом иллюзией. И это не принесет пользы даже самым упорным людям. Тем не менее можно ранжировать цели среднего и нижнего уровня, чтобы их достижение приближало вас к осуществлению высшей цели. И я считаю, что в профессиональной сфере достаточно одной большой цели. Чем более структурирована и координирована иерархия целей, тем лучше. * * * Говорят, миллиардер Уоррен Баффет, который все свое богатство заработал сам и который владеет капиталом, вдвое превышающим сумму пожертвований, получаемых Гарвардским университетом, дал своему личному пилоту совет – о расстановке приоритетов стоящих перед человеком задач. Однажды Баффет поинтересовался у своего пилота: дескать, у него наверняка есть мечты, никак не связанные с перевозкой самого Баффета из одного места в другое. Пилот ответил, что действительно у него такие мечты есть. И тогда Баффет изложил ему теорию трех шагов достижения цели. Во-первых, надо написать список из 25 своих карьерных целей. Во-вторых, как следует подумать и оставить 5 самых важных. В-третьих, необходимо рассмотреть список тех 20 целей и задач, которые были отметены. И отныне стремления к ним нужно избегать всеми возможными способами, ибо они только отвлекают. Они отнимают время и энергию, не давая возможности достичь пяти главных, самых важных целей. Когда я впервые прочитала эту историю, я подумала: «Черт возьми, да как же можно иметь 25 целей в карьере? Это же непростительно много». Потом я села и написала список своих рабочих проектов. И, дойдя до 32-го пункта, я поняла, что упражнение было эффективным и время я потратила не зря. В первую очередь в голову лезли цели среднего уровня. Именно они сразу приходят на ум, когда надо написать не одну свою цель, а несколько. ![]() Фрэнк Моделл, New Yorker, 7 июля 1962 г. The New Yorker Collection/The Cartoon Bank. Желая сделать выбор более научным, я составила таблицу, чтобы оценить, насколько интересны и важны отдельные проекты. Каждую цель я оценивала по шкале от 1 до 10, где единица – самые неинтересные. Я оценивала каждую цель по критериям интереса и значимости, то есть дважды. Потом я умножила получившиеся цифры и получила баллы от 1 до 100. Ни одна из целей не дотянула до 100, но не нашлось и такой, которую я бы оценила «1» по какой-нибудь шкале. Я попыталась последовать совету Баффета и обвела красной ручкой несколько самых важных и интересных целей, а все остальные выбросила из головы и решила никогда в жизни не думать о них. Я пыталась, но у меня ничего не получилось. И я поняла, что многие мои цели связаны между собой. Большая их часть – средство достижения одной высшей цели – помогать детям процветать. У меня была буквально пара карьерных целей, не связанных с этим. И я заставила себя избегать их любой ценой. Если бы я сейчас вместе с Баффетом прошлась по моему списку, он бы сказал, что задача этого упражнения – понять, что время и энергия ограниченны. Успешный человек должен уяснить, чего он ни в коем случае не должен делать. Я понимаю логику Баффета, но мне до него в этом смысле еще очень далеко. Однако этот тест действительно полезен. Когда приходится распыляться на достижение нескольких важных целей, это сбивает с толку. Нужен один внутренний компас, а не два, три, четыре или пять. Я бы к трехшаговому упражнению Баффета добавила еще один шаг. Спросите себя: «Насколько все эти цели служат достижению общей цели?» Если они принадлежат одной иерархии, тем концентрированнее ваша страсть. Станете ли вы известным питчером или заработаете кучу денег, если будете использовать этот метод выявления главной цели и расстановки приоритетов? Скорее всего, нет. Но у вас будет больше шансов быть там, где вы мечтали бы находиться. * * * Упорство вовсе не подразумевает, что вы настырно, любой ценой преследуете каждую цель среднего уровня. Более того, возможно, стоит отказаться от пары целей, которых вы сейчас стремитесь достичь, – просто потому, что не все в жизни складывается так, как нам хочется. Необходимо работать засучив рукава и иногда даже чуть дольше, чем вы планировали. Но не стоит разбиваться в лепешку ради достижения вторичной цели. Я размышляла, как важно отделять основные цели от менее значимых, слушая в местной библиотеке выступление известной карикатуристки журнала New Yorker – Роз Част. Она рассказала, что 90 процентов ее рисунков редакторы отвергают. И добавила, что на более ранней стадии ее карьеры процент отсева был еще выше. Я позвонила редактору по комиксам и карикатурам журнала New Yorker – Бобу Манкоффу и спросила, какую долю предложений он отсеивает. Тот назвал цифру, которая показалась мне шокирующее высокой. Боб сказал, что в этом смысле Роз – скорее исключение из правил. «Слава богу!» – подумала я, с сочувствием думая о карикатуристах, девять из десяти работ которых идут в мусорную корзину. Однако Боб сообщил мне, что обычно карикатуристам повсюду в мире приходится мириться с еще более частыми отказами. Правда, в его издании [16] «сотрудничающие по контракту» карикатуристы имеют больше шансов на публикацию в сравнении с прочими. Всего в неделю Бобу поступает около пятисот карикатур и рисунков, а каждый номер вмещает их приблизительно семнадцать. Я посчитала долю отсева – 96 процентов. Бог ты мой! Да кто захочет жить такой жизнью? В первую очередь – сам Боб. Жизнь Боба служит доказательством, что ради достижения приоритетных целей следует спокойно относиться к тому, что ты иногда не достигаешь целей промежуточного уровня. Представьте, что самая важная цель написана чернилами, а подчиненные ей цели – карандашом: чтобы можно было их менять, а иногда и вообще стирать, освобождая место для новых. Вот мой рисунок, правда, совсем не того качества, которого требуют в New Yorker: ![]() Одна из целей нижнего уровня перечеркнута злым крестом, словно закрыта. Это – отказ, неудача, потеря времени, провал. Упорного человека такая ситуация расстроит, но он не станет переживать слишком долго. Вскоре упорный человек найдет новую цель подчиненного уровня – поняв, как она служит главной цели, – и нарисует новый кружок. ![]() Один из девизов «зеленых беретов»: «Импровизировать, адаптироваться, преодолевать» [17]. Многим в детстве говорили: «Если у тебя с первой попытки не получается, не сдавайся, пробуй еще». Мудрый совет, но лучше бы говорили так: «Пробуй, пробуй и пробуй снова, а потом предприми что-нибудь другое». Именно такой подход оптимален при решении задач подчиненного уровня. |
![Иллюстрация к книге — Упорство. Как развить в себе главное качество успешных людей [i_011.jpg] Иллюстрация к книге — Упорство. Как развить в себе главное качество успешных людей [i_011.jpg]](img/book_covers/109/109839/i_011.jpg)
![Иллюстрация к книге — Упорство. Как развить в себе главное качество успешных людей [i_012.jpg] Иллюстрация к книге — Упорство. Как развить в себе главное качество успешных людей [i_012.jpg]](img/book_covers/109/109839/i_012.jpg)
![Иллюстрация к книге — Упорство. Как развить в себе главное качество успешных людей [i_013.jpg] Иллюстрация к книге — Упорство. Как развить в себе главное качество успешных людей [i_013.jpg]](img/book_covers/109/109839/i_013.jpg)