Онлайн книга «Мотивированный мозг. Высшая нервная деятельность и естественно-научные основы общей психологии»
|
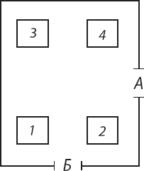
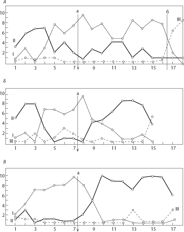
Индивидуальные особенности данного животного проявляются и в ситуации конфликта между качеством (ценностью) подкрепления и вероятностью удовлетворения соответствующей потребности. Эти два фактора Д. И. Меницкий (1983) называет активационным и информационным компонентами подкрепления. Совместно с Л. П. Руденко мы провели серию опытов на трех собаках в камере, где были установлены четыре кормушки (рис. 3). Каждая кормушка содержала восемь металлических чашечек, наполненных мясным фаршем. С помощью дистанционного устройства диск с чашечками можно было поворачивать так, чтобы одна из них появилась в окне кормушки. ![]() Рис. 2. Частота сердечных сокращений в фоне (1), при появлении пустой кормушки (2) и процент двигательных реакций на условный сигнал (3) у трех собак (А, Б, В) при различной вероятности подкрепления (по Л. А. Преображенской) ![]() Рис. 3. Расположение кормушек 1–4 в экспериментальной камере А – вход для собаки; Б – окно экспериментатора Каждую собаку поочередно впускали в камеру (десять раз в течение опыта) и открывали ей доступ к пище, когда она подходила к кормушке, «эффективной» в данной пробе согласно заранее составленной программе. Суть программы заключалась в том, что вероятность получения мяса при подходе к кормушке № 1 составляла 50 %, к кормушке № 3 – 30 %, к кормушке № 2 – 20 %, подходы к кормушке № 4 не подкреплялись. После семи первых дней условия опыта изменяли таким образом, что при подходе к кормушке № 1 собаки получали не мясо, а мясосухарный порошок, смоченный водой. Вероятность получения сухарей в кормушке № 1, а мяса в кормушках № 2 и 3 оставалась без изменений. В каждой из десяти проб собака могла получить подкрепление только из одной кормушки. Подходы к кормушкам экспериментатор наблюдал через окно. Кроме того, они регистрировались на самописце с помощью тензометрических платформ, установленных возле всех четырех кормушек. Эксперименты показали (рис. 4), что начиная с 3–5-го дня опытов все собаки отдают предпочтение кормушке с наиболее высокой вероятностью появления пищи. В первые 3–4 дня у Икара и Динки (А и В на рис. 4) наметилось предпочтение кормушки № 2 с 20 %-ным подкреплением. Эту аномалию поведения можно предположительно объяснить размещением кормушки № 2 на пути к часто подкрепляемой кормушке № 1 (см. рис. 3), благодаря чему подход к кормушке № 2 становится компонентом подкрепляемого комплекса: кормушки № 2 и 1. На рис. 4 показано количество только первых подходов к кормушкам № 1, 2 и 3, когда собака, войдя в камеру, сразу же направляется к данной кормушке. Если же рассмотреть поведение собак в целом, то можно убедиться, что все три собаки осматривали кормушки в последовательности, соответствующей вероятности подкрепления. Сначала они подходили к кормушке № 1 (50 % подкрепляемых подходов), затем – к кормушке № 3 (30 %), от нее – к кормушке № 2 (20 %), а кормушку № 4 (0 %) переставали посещать вообще. Поведение собак существенно изменилось после того, как в часто подкрепляемой кормушке № 1 мясо заменили мясосухарным порошком (стрелка а на рис. 4). Количество подходов к этой кормушке стало падать, а число подходов к «мясной» кормушке № 2 возросло. Мы уже обсудили вопрос о том, почему кормушка № 2 оказалась более эффективным условным сигналом, чем кормушка № 3. Предпочтение редко подкрепляемой «мясной» кормушки № 2 по сравнению с часто подкрепляемой «сухарной» № 1 наблюдалось у Динки и Буяна (Б и В на рис. 4). После двухнедельной «борьбы вероятности подкрепления с его ценностью» (11-й и 12-й опыты) Икар продолжал отдавать предпочтение кормушке № 1. Только насыщение этой собаки сухарями перед опытом (17-й и 18-й дни) привело к отчетливому доминированию чаще подкрепляемой «мясной» кормушки № 3. Иными словами, в случае конфликта между вероятностью и ценностью подкрепления решающее значение приобретают уровень мотивации и индивидуальные особенности животного. ![]() Рис. 4. Количество первых подходов к кормушкам № 1 (I), № 2 (II), № 3 (III) собак Икара (А), Динки (Б) и Буяна (В) Абсцисса – дни опытов; стрелка а – замена мяса сухарями в кормушке № 1; стрелка б – насыщение сухарями Изучение зависимости пищедобывательного поведения собак от вероятности и качества (ценности) подкрепления обнаружило сложные отношения между этими двумя факторами организации целенаправленного поведения. При неизменном уровне мотивации стратегия поиска пищи определяется вероятностью ее нахождения в той или иной точке пространства, причем эта вероятность прогнозируется на основе ранее приобретенного опыта. Дело существенно осложняется в случае возникновения конфликта между вероятностью и качеством подкрепления, поскольку сила потребности оказывает влияние не только на уровень эмоционального напряжения, но и на деятельность мозговых механизмов, оценивающих возможность удовлетворения потребности. Усиление мотивации, как правило, ведет к переходу к оптимальной стратегии, т. е. к реакциям, обеспечивающим максимальный суммарный выигрыш (Sigel, Goldstein, 1959). И. М. Фейгенберг (1972) экспериментально показал, что степень искажения зависимости времени реакции от вероятности появления сигнала может служить количественной мерой значимости этого сигнала для субъекта. Как мы уже отмечали, прогнозирование вероятности тех или иных событий в значительной мере определяется индивидуальными (типологическими) особенностями субъекта (Крауклис, Янсон, Шираев, Казаковская, 1979; Русалов, 1979). Эксперимент и наблюдения показывают, что порождаемая потребностью эмоция оказывает обратное влияние на потребность и прогноз ее удовлетворения. Кстати, и прогноз способен существенно повлиять на силу потребности, свидетельством чему могут служить многочисленные эксперименты с так называемой «выученной беспомощностью». Разумеется, когда мы говорим о влиянии эмоций на потребность, а потребности на прогнозирование вероятности достижения цели, мы отнюдь не думаем, что эмоция и потребность могут расти беспредельно. Эти пределы не оговорены и не отражены в формуле эмоций, поскольку, повторим еще раз, формула представляет структурно-качественную модель и только в определенных, сравнительно простых случаях ее символы могут быть заменены эмпирически измеримыми величинами. Вместе с тем формула наглядно воспроизводит сложную внутреннюю структуру эмоций, взаимозависимости эмоции, потребности и вероятности ее удовлетворения, которая осуществляется как на осознаваемом, так и на неосознаваемом уровне высшей нервной (психической) деятельности. М. А. Котик (1978) предложил методику оценки значимости события для субъекта как функции ценности (важности) этого события и его вероятности. Результаты, полученные с помощью данного метода, хорошо соответствуют формуле эмоций. |
![Иллюстрация к книге — Мотивированный мозг. Высшая нервная деятельность и естественно-научные основы общей психологии [i_002.jpg] Иллюстрация к книге — Мотивированный мозг. Высшая нервная деятельность и естественно-научные основы общей психологии [i_002.jpg]](img/book_covers/108/108995/i_002.jpg)
![Иллюстрация к книге — Мотивированный мозг. Высшая нервная деятельность и естественно-научные основы общей психологии [i_003.jpg] Иллюстрация к книге — Мотивированный мозг. Высшая нервная деятельность и естественно-научные основы общей психологии [i_003.jpg]](img/book_covers/108/108995/i_003.jpg)
![Иллюстрация к книге — Мотивированный мозг. Высшая нервная деятельность и естественно-научные основы общей психологии [i_004.jpg] Иллюстрация к книге — Мотивированный мозг. Высшая нервная деятельность и естественно-научные основы общей психологии [i_004.jpg]](img/book_covers/108/108995/i_004.jpg)