Книга Занимательная экономика. Теория экономических механизмов от А до Я, страница 46 – Александр Филатов, Алексей Савватеев

Авторы: А Б В Г Д Е Ж З И Й К Л М Н О П Р С Т У Ф Х Ч Ш Ы Э Ю Я
Книги: А Б В Г Д Е Ж З И Й К Л М Н О П Р С Т У Ф Х Ц Ч Ш Щ Ы Э Ю Я
Бесплатная онлайн библиотека LoveRead.ec

Онлайн книга «Занимательная экономика. Теория экономических механизмов от А до Я»

📃 Cтраница 46
6.2.3. Двухкомпонентные тарифы и плата за доступ

Напомню, что одним из наиболее распространенных механизмов нелинейного ценообразования является двухкомпонентый тариф, который также часто называется двухчастным или просто двойным. При его использовании помимо платы за каждую единицу блага взимается определенная сумма за право это благо приобретать.

Ретейлер, который платит фиксированную сумму производителю за право дешево покупать у него товар; абоненты, оплачивающие связь по комбинированному тарифу; университет, покупающий групповой доступ к учебнику – все это примеры двухкомпонентных тарифов. При этом в некоторых случаях цена единицы блага может быть просто нулевой. Примерами последней ситуации являются любые безлимитные тарифы на интернет, система «Все включено» в отелях, месячные абонементы на транспорт и т. д.

Система двухкомпонентных тарифов хороша тем, что стимулирует увеличение потребления, а значит, приводит к росту общественного благосостояния. При этом за счет платы за доступ компания-производитель остается в зоне прибыли. Также важно, что такая система более точно соответствует структуре издержек. Однако есть и ограничения: двухкомпонентные тарифы применимы только тогда, когда покупатель может быть точно идентифицирован, а перепродажа блага ограничена. Итак, рассмотрим модель рынка, на котором используется данный механизм.

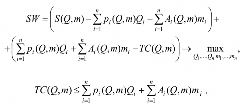
Пусть фирма производит n товаров в количестве Q = (Q1,…, Qn), при этом каждый i-й товар приобретается mi покупателями, то есть m= (m1,…, mn) – вектор числа покупателей. Пусть также TC(Q, m) – функция суммарных издержек монополиста, MCi (Q, m) = ∂TC(Q, m) / ∂Qi – предельные издержки производства i-го товара, MCia(Q, m) = ∂TC(Q, m) / ∂mi – предельные издержки на подключение покупателей к приобретению товара i, pi(Q, m) – обратная функция спроса на i-й товар, Ai(Q, m) – обратная функция спроса на право доступа к i-му товару. Задача максимизации общественного благосостояния при условии неотрицательности прибыли компании принимает следующий вид:

Иллюстрация к книге — Занимательная экономика. Теория экономических механизмов от А до Я [i_081.jpg]

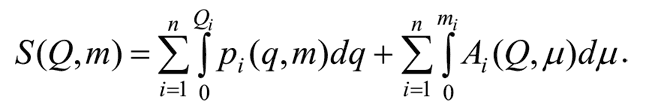
Здесь S (Q, m) – сумма излишков потребителей от приобретения товаров в объеме Q и владения правами доступа в размере m:

Иллюстрация к книге — Занимательная экономика. Теория экономических механизмов от А до Я [i_082.jpg]

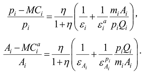
В упрощенной ситуации, когда перекрестные эластичности равны нулю, то есть все производимые фирмой товары независимы, найдем выражения для оптимальной цены и оптимальной платы за доступ для каждого i-го товара:

Иллюстрация к книге — Занимательная экономика. Теория экономических механизмов от А до Я [i_083.jpg]

Здесь η – множитель Лагранжа ограничений, εi и εia – эластичности спроса на i-й товар по цене продукции и по плате за доступ, εАi, и εPiAi – эластичности спроса на доступ к i-му товару по плате за доступ и по цене на товар.

Проинтерпретируем формулы. Доли наценки в цене и в плате за доступ к i-му товару пропорциональны взвешенной сумме обратных эластичностей. Весовые коэффициенты равны отношению доходов фирмы от продажи прав доступа miAi и доходов от непосредственной продажи товара piQi. Интуиция тоже вполне понятна. В частности, при прочих равных условиях увеличение эластичности спроса по цене продукции уменьшает общественно эффективную цену единицы товара с целью расширения продаж, но увеличивает плату за доступ из-за необходимости покрытия издержек. Напротив, если более высокой становится эластичность спроса на доступ по ее плате, то приходится снижать ее ради того, чтобы уменьшить число покупателей, полностью отказавшихся от продукта. При этом, чтобы не уйти в убыток, необходимо увеличить цену единицы товара.

Можно рассмотреть крайний случай. Если спрос на доступ для некоторой группы потребителей фиксирован (например, люди не готовы полностью отказаться от потребления электроэнергии ни при каких обстоятельствах, хотя согласны перейти в режим экономии), то необходимо назначить цены на уровне предельных издержек, а плата за доступ должна в точности покрывать суммарные издержки фирмы.

Конечно, в реальной жизни мы редко сталкиваемся с ситуацией фиксированного спроса. Однако, как правило, спрос на доступ действительно гораздо менее эластичен спроса на само благо. Отказаться от потребления товара целиком нелегко, но варьировать его потребление в зависимости от цены вполне возможно. Поэтому чаще всего общественный оптимум достигается при высокой плате за доступ, покрывающей основную часть постоянных издержек производства, и низкой, близкой к предельным издержкам, цене единицы продукции.

6.2.4. Блочные тарифы

Еще одним способом монополистического ценообразования являются блочные тарифы. В них цена единицы продукции меняется в зависимости от объема потребления. Существуют два вида блочных тарифов – повышающиеся и понижающиеся (рис. 6.5). В понижающемся блочном тарифе реализуется принцип «оптом дешевле». Начиная с определенных объемов потребления, цена начинает снижаться. Напротив, в повышающемся блочном тарифе льготная цена устанавливается для клиентов с низким объемом покупок. Если же есть желание увеличить потребление, приходится платить больше.

Иллюстрация к книге — Занимательная экономика. Теория экономических механизмов от А до Я [i_084.jpg]

Рис. 6.5. Понижающийся (а) и повышающийся (б) блочные тарифы


Формализуем сказанное. Пусть имеется некоторое число критических объемов выпуска Q0 = 0, Q1, Q2 и т. д. Цена дополнительной единицы продукции внутри каждого блока постоянна, но меняется от блока к блоку. При потреблении в рамках k-блока, то есть в объеме от Qk–1 до Qk она составляет величину pk. Для понижающегося блочного тарифа p1 < p2 <…, для повышающегося неравенства имеют обратный знак: p1 > p2 >…

Вход
Поиск по сайту
Ищем:
Календарь