Книга Занимательная экономика. Теория экономических механизмов от А до Я, страница 35 – Александр Филатов, Алексей Савватеев

Авторы: А Б В Г Д Е Ж З И Й К Л М Н О П Р С Т У Ф Х Ч Ш Ы Э Ю Я
Книги: А Б В Г Д Е Ж З И Й К Л М Н О П Р С Т У Ф Х Ц Ч Ш Щ Ы Э Ю Я
Бесплатная онлайн библиотека LoveRead.ec

Онлайн книга «Занимательная экономика. Теория экономических механизмов от А до Я»

📃 Cтраница 35

В случае, когда все перекрестные эластичности εij равны нулю (то есть изменение цены одного товара нисколько не сказывается на спросе на остальные), мы получаем стандартную формулу индекса Лернера. Однако наличие среди производимых продуктов дополняющих товаров или заменителей меняет ситуацию.

Конечно, главной проблемой честного применения данной модели на практике является необходимость оценивания огромного количества перекрестных эластичностей спроса на i-й товар по цене j-го. В то же время во многих ситуациях товары являются симметричными (как в случае с йогуртами с различными вкусами), и вопрос только в степени готовности потенциальных потребителей переплачивать за доступ именно к наиболее желаемому из продуктов.

Есть и некоторые общие выводы, которые следуют из представленной модели. Например, можно сравнить цены и объемы выпуска многопродуктовой монополии с ценами и объемами в ситуации, когда эта монополия разделена на множество независимых производителей отдельных продуктов.

Если все товары являются заменителями, то есть εij > 0, то цены многопродуктовой монополии оказываются выше, чем у n независимых производителей. Действительно, единый производитель не так боится переключения потребителей на продукцию конкурентов, поскольку производителем основных конкурирующих продуктов является он сам.

Напротив, если многопродуктовый монополист выпускает дополняющие товары и все εij <0, то такая рыночная структура предлагает более низкие цены и в целом эффективнее для общества, чем множество независимых производителей. Действительно, единый производитель понижением цены увеличивает спрос не только на данный, но и на остальные товары, продаваемые им же, что создает дополнительные стимулы к снижению цен, отсутствующие в конкурентной среде. Кстати, с этим связана и эффективность вертикальной интеграции, когда для общества выгоднее объединение разных стадий производства, выпуска сопутствующих товаров и их дистрибьюции внутри единого холдинга.

Результаты, аналогичные рассмотренным, можно получить и в двухпериодной модели, в которой снижение цены p1 не только увеличивает мгновенный спрос D1, но также расширяет узнаваемость бренда и приводит к росту будущих продаж D2, что формально задается отрицательным знаком производной спроса во втором периоде по первоначальной цене: ∂D2 /∂p1 < 0.

Задача производителя примет вид.

π = p1 D1(p1) + δ p2 D2(p2, p1) – TC1(D1(p1)) – δ TC2(D2(p2, p1) → max.

Ее решением будет монопольная цена во втором периоде (когда будущего нет, производитель ведет себя как в однопериодной модели) и заниженная относительно монопольного уровня для роста будущего спроса цена первого периода. Кстати, заметим, что эффект, выявляемый в данной модели (иногда называемый «goodwill effect»), полностью совпадает с результатом модели «learning by doing». Однако здесь действуют разные механизмы. Снижение цены и рост выпуска в первом периоде может как уменьшать издержки производства за счет обучения, так и стимулировать будущие продажи среди лояльных покупателей.

Можно рассмотреть и общий вариант связанного спроса и связанных издержек, однако он является простой комбинацией рассмотренных ранее случаев и не приносит никаких новых результатов.

5.1.4. Ценовая дискриминация третьей степени

Перейдем к изучению ценовой дискриминации третьей степени. Она представляет собой жесткое разбиение рынка на сегменты, в каждом из которых производимый продукт продается по своей цене. Сниженные цены для школьников, студентов, пенсионеров и повышенные для иностранцев, различные цены для разных регионов, стран и районов города, более высокие для богатых и более низкие для бедных, и даже купоны скидок и бонусные баллы по картам лояльности – все это является примером ценовой дискриминации третьей степени. При этом по сути никакой новый инструментарий для определения оптимальной ценовой политики использовать не придется – ценовая дискриминация третьей степени представляет собой многопродуктовую монополию со связанными издержками.

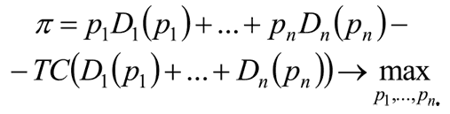
Итак, пусть фирма осуществляет продажи на n отдельных рынках, спрос на которых известен и задан функциями Di(pi), i=1,…, n. Также известна функция издержек TC(Q), при этом ее аргументом является суммарный выпуск продукции на всех рынках, задаваемый спросом по установленным на рынках ценам. Функция прибыли компании примет вид.

Иллюстрация к книге — Занимательная экономика. Теория экономических механизмов от А до Я [i_057.jpg]

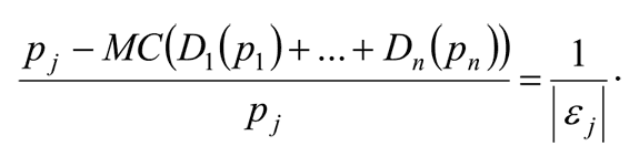
Поскольку спрос на отдельных рынках никак не связан, при оптимальном наборе цен значения предельной выручки везде совпадают и равны предельным издержкам в точке суммарного выпуска

MR1(D1(p1)) = … = MRn(Dn(pn)) = MC(D1(p1) +…+ Dn(pn)).

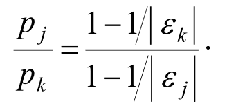
При этом оптимальная наценка на j-м рынке определяется соотношением

Иллюстрация к книге — Занимательная экономика. Теория экономических механизмов от А до Я [i_058.jpg]

Последнее выражение также может быть представлено в следующем виде:

Иллюстрация к книге — Занимательная экономика. Теория экономических механизмов от А до Я [i_059.jpg]

Это означает, что относительно случая единой цены продукция на высокоэластичных рынках становится дешевле, а на низкоэластичных – дороже.

Представим на рис. 5.2 процесс определения оптимальных цен в ценовой дискриминации третьей степени для случая двух рынков. Рассмотрим ситуацию линейного спроса, для которого предельная выручка выходит из той же точки на оси цен и имеет вдвое больший наклон, и некоторых возрастающих предельных издержек.

Помимо картинок для отдельных рынков нам потребуется график суммарного спроса D1+2 (отметим, что в нашей ситуации, когда цены отложены по вертикальной оси, сложение D1 и D2 происходит по горизонтали) и соответствующей предельной выручки MR1+2. Именно третий график даст нам точку пересечения MR1+2 и MC (q1+2). Отобразим полученный уровень предельных издержек на левые рисунки и через его пересечение с MR1 и MR2 найдем оптимальные объемы выпуска q1* и q2*. Оптимальные же цены p1 и p2 определяются спросом на обоих рынках.

Вход
Поиск по сайту
Ищем:
Календарь