Книга Занимательная экономика. Теория экономических механизмов от А до Я, страница 19 – Александр Филатов, Алексей Савватеев

Авторы: А Б В Г Д Е Ж З И Й К Л М Н О П Р С Т У Ф Х Ч Ш Ы Э Ю Я
Книги: А Б В Г Д Е Ж З И Й К Л М Н О П Р С Т У Ф Х Ц Ч Ш Щ Ы Э Ю Я
Бесплатная онлайн библиотека LoveRead.ec

Онлайн книга «Занимательная экономика. Теория экономических механизмов от А до Я»

📃 Cтраница 19

Максимизируем по величине ставки b выписанный выше ожидаемый выигрыш, приравняв производную к нулю:

V = (v – b) P(b) = (v – b) 2b = 2vb – 2b 2 → max,

2v – 4b = 0, b = v / 2.

Таким образом мы доказали, что наилучшим ответом на стратегию «называть половину ценности» является она же, то есть данная стратегия равновесна. Так что участник, истинная ценность картины для которого составляет 600 тысяч рублей, действительно должен подать заявку на 300.

3.1.4. Аукцион первой цены: строгое решение

Довериться интуиции и затем доказать, что она нас не подвела, – это довольно распространенный способ решения нетривиальных задач, в том числе в теории экономических механизмов. Но можно ли было решить задачу математически строго?

Попробуем найти симметричное равновесие, то есть такую функцию превращения ценности в заявку b = f(v), которая является оптимальным ответом на себя саму. Поиск будет происходить в классе монотонно возрастающих дифференцируемых функций, которые стартуют из нуля. Это содержательно означает, что участник аукциона, который совершенно не ценит данный объект, не станет делать на него положительную заявку, а чем больше будет ценность, тем выше ставка, которую он готов поставить.

Для нахождения максимума сначала нужно понять, чему равняется вероятность победы на аукционе. Поскольку предполагается симметричность стратегий в равновесии, конкурент использует такую же функцию f (v) выбора ставки в зависимости от ценности, как и мы. Мы побеждаем конкурента в случае, если его оптимальная ставка b2 = f (v2) не превышает нашу, равную b. С учетом монотонности функции f (v) это будут участники с оценкой ниже, чем v = f –1 (b). Доля таких конкурентов для равномерного распределения ценности на отрезке [0; 1] в точности совпадает со значением f –1 (b). Например, вероятность того, что оценка конкурента окажется не выше 0,4, составляет 40 %. Таким образом, функция выигрыша примет вид V = (v – bf –1 (b).

Для каждого значения v необходимо максимизировать данную функцию по ставке b [0; 1]. В результате решения этой параметрической задачи и будет сконструирована функция f (v) нашего наилучшего ответа при ценности v. Чтобы отыскать точку максимума функции выигрыша, то есть решить задачу:

V = (v – bf –1(b) → max,

необходимо вычислить ее производную. Учитывая, что производная обратной функции равна обратной величине производной данной функции в соответствующей точке, мы имеем:

– f –1(b) + (v – b) / f '(f –1(b)) = 0,

откуда путем несложных преобразований выразим:

v – b = f –1(bf ' (f –1(b)).

А теперь самый главный момент. Если f (v) – равновесная стратегия поведения, то для произвольной ценности v решением этого уравнения должно служить в точности значение ставки b = f (v), которое мы и подставим в уравнение. Получим следующее:

v – f (v) = f –1 (f (v)) f ' (f –1(f (v)).

Поскольку обратная функция применяется вслед за прямой, то многое сократится:

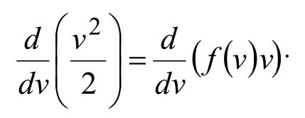
v = f (v) + v f ' (v).

Заметим, что слева и справа здесь угадываются полные дифференциалы:

Иллюстрация к книге — Занимательная экономика. Теория экономических механизмов от А до Я [i_023.jpg]

Это означает, что f (vv = v 2 / 2 + C, а поскольку в соответствии с наложенным ранее условием f (0) = 0, константа C также равняется нулю. Значит, ответ будет иметь вид f (v) = v / 2.

Итак, оптимальная стратегия поведения в аукционе первой цены с двумя участниками в случае равномерно распределенных на отрезке [0; 1] ценностей – называть половину собственной оценки.

3.1.5. Аукцион первой цены: обобщения

В предыдущем параграфе мы нашли оптимальную стратегию поведения в закрытом аукционе первой цены с двумя участниками и равномерным на отрезке [0; 1] распределением ценностей. Однако оба этих предположения не очень реалистичны. Поэтому попробуем от них отказаться. И первое возможное обобщение – поиск оптимальной стратегии для аукциона с произвольным числом участников, которое равно n.

Большая часть рассуждений останется неизменной. Отличие заключается в том, что для победы теперь нужно, чтобы не только одна, но все ставки (n –  1) конкурента были ниже нашей. Учитывая то, что вероятность такого события для одного конкурента равна f –1(b), найдем итоговую вероятность (f –1(b))n–1 и итоговый ожидаемый выигрыш (v – b) (f –1(b))n–1, который и максимизируем по b, снова принимая во внимание, что b = f (v):

– (f –1 (b))n–1 + (v – b) (n – 1) (f –1 (b))n–2/f ' (f –1 (b)) = 0,

(v – b) (n – 1) = f –1 (bf ' (f –1 (b)),

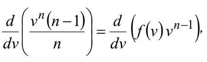
v (n – 1) = f (v) (n – 1) + v f ' (v).

Домножим обе части данного равенства на v n–2 и снова увидим слева и справа полные дифференциалы:

v n–1 (n – 1) = f (v) (n – 1) v n–2 + f ' (vv n–1,

Иллюстрация к книге — Занимательная экономика. Теория экономических механизмов от А до Я [i_024.jpg]

f (vv n–1 = v n (n – 1) / n + C.

Вход
Поиск по сайту
Ищем:
Календарь