Книга Занимательная экономика. Теория экономических механизмов от А до Я, страница 10 – Александр Филатов, Алексей Савватеев

Авторы: А Б В Г Д Е Ж З И Й К Л М Н О П Р С Т У Ф Х Ч Ш Ы Э Ю Я
Книги: А Б В Г Д Е Ж З И Й К Л М Н О П Р С Т У Ф Х Ц Ч Ш Щ Ы Э Ю Я
Бесплатная онлайн библиотека LoveRead.ec

Онлайн книга «Занимательная экономика. Теория экономических механизмов от А до Я»

📃 Cтраница 10
1.3.4. Многоступенчатые стратегии наказания

Конечно, рассмотренный в предыдущем параграфе пример представляет собой красивую иллюстрацию того, как механизм работает. Есть и отрицательные примеры, наглядно демонстрирующие, что полное искоренение коррупции возможно не всегда. Однако определенных успехов все-таки можно достичь, если использовать более сложные многоступенчатые стратегии наказания.

Их принцип достаточно прост: если уровень коррупции оказывается ниже определенной известной всем величины, проверка совсем не проводится, при его превышении проводится с малой вероятностью, дальше – больше и т. д. Формально процедура выглядит следующим образом: задается последовательность барьеров

0 ≤ z1 < z2 < … < zk < 1 = zk + 1.

Также задается разбиение общего ресурса проверок на группы «дополнительного усиления» λ1,…, λk. Величина λl представляет собой дополнительную вероятность проверки группы инспекторов, чей уровень коррупции превышает zl. При этом Σ λl = 1. Заметим также, что инспекторов с уровнем коррупции, не превышающим z1, не проверяют вовсе.

Например, рассмотрим ситуацию z = (0,2; 0,4; 0,6) и λ = (0,1; 0,5; 0,4). Это означает, что с вероятностью 10 % равновероятно проверяют кого-то из тех, чей уровень коррупции превышает 0,2. Еще 50 % ресурса тратится на инспекторов, чей уровень коррупции больше 0,4. И наконец, с дополнительной вероятностью 40 % проверяющий придет к кому-то из тех немногих, чей уровень коррупции превосходит 0,6.

Как мы говорили выше, если все инспекторы не рискнут превышать уровень коррупции в 0,2, то проверок вообще не будет. Такие поблажки нужны для того, чтобы стимулировать инспекторов оставаться на низком уровне нарушений, одновременно жестко наказывая тех, кто по цитате из гоголевского «Ревизора» «не по чину берет».

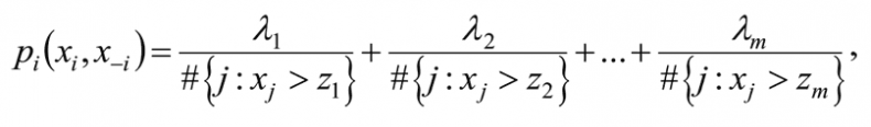
Общая формула вероятности проверки для i-го инспектора примет вид:

Иллюстрация к книге — Занимательная экономика. Теория экономических механизмов от А до Я [i_015.jpg]

где m – номер интервала, в который попадает i-й инспектор по уровню коррупции: zm xi ≤ zm+1. Решеткой здесь и ниже обозначено количество инспекторов, уровень коррупции которых превышает соответствующий барьер.

В коротком варианте формула выглядит следующим образом:

Иллюстрация к книге — Занимательная экономика. Теория экономических механизмов от А до Я [i_016.jpg]

Доказано, что при любых наборах барьеров z и вероятностей λ такая стратегия реализуется через сильное (то есть устойчивое к сговору) равновесие Нэша, которое эффективно вычисляется простейшей процедурой. Правильным подбором z и λ можно пытаться снижать итоговый уровень коррупции до минимального. При этом достаточно рассматривать n-ступенчатые стратегии, где n – число инспекторов. Это хорошие новости. В то же время есть и несколько проблем, ограничивающих применение подобного рода механизмов на практике. И дело далеко не только в нежелании контролирующих органов разбираться в математике представленных схем.

Во-первых, механизм работает в случае рациональных агентов, а как показывает практика, часто тот, кто берет взятки, с определенного момента уже не может остановиться и никакие репрессивные меры его не страшат. А во-вторых, любые механизмы бессильны против кооперативного поведения с побочными платежами. Если инспекторы собирают средства в «общак», фонд взаимопомощи, который достается тому, кто не смог избежать штрафов, то никакие угрозы наказания больше не работают. Правда, полноценное кооперативное поведение нарушающих закон столь же нереалистично, как и идеальные механизмы борьбы с нарушениями. Реальность находится где-то посередине. И если описанные выше принципы могут сократить оппортунистическое поведение хотя бы в некоторой степени, следует их применять.

Задания для самостоятельного решения

Тесты 1–5. Выбрать один верный ответ из четырех предложенных

Тест 1. Если спикер парламента, в отличие от всех остальных депутатов, имеет при принятии решения два голоса вместо одного, нарушается требование…

1) анонимности,

2) монотонности,

3) нейтральности,

4) неманипулируемости.


Тест 2. Пусть профиль предпочтений избирателей выглядит следующим образом:

Иллюстрация к книге — Занимательная экономика. Теория экономических механизмов от А до Я [i_017.jpg]

В верхней строке указана доля избирателей каждого типа. Кто одержит победу на голосовании в 2 тура?

1) A

2) B

3) C

4) Несколько кандидатов наберут одинаковое количество голосов.


Тест 3. Пусть от пункта A до пункта B имеется 3 дороги. По первой из них можно добраться за 40 мин. По второй – за (20 + 30x2) мин., по третьей – за (25 + 20x3) мин., где х2 и x3 – доли едущих по второй и третьей дороге автомобилей. Какая из дорог предположительно имеет минимальное число полос:

1) первая,

2) вторая,

3) третья,

4) для ответа недостаточно данных.


Тест 4. После строительства в городе новой высокоскоростной дороги время передвижения…

1) обязательно уменьшится для всех жителей города;

2) обязательно уменьшится для большинства жителей города;

3) обязательно уменьшится для некоторых жителей города;

4) может увеличиться для всех жителей города.


Тест 5. Сколько равновесий в модели с безбилетниками и единственным штрафующим их за перепрыгивание турникета полицейским?

1) нет равновесий,

2) единственное равновесие,

3) несколько равновесий,

4) бесконечное число равновесий.


Тест 6. Выбрать все правильные ответы

Вероятность проверки потенциального взяточника составляет 20 %, штраф при обнаружении факта взятки 1 млн руб. Если при этом размер взятки не превышает 100 тыс., штраф не взимается. На какой размер взятки может согласиться рациональный и нейтральный к риску взяточник? Указать все возможные варианты.

Вход
Поиск по сайту
Ищем:
Календарь