Книга Невидимая Вселенная. Темные секреты космоса, страница 42 – Йостейн Рисер Кристиансен

Авторы: А Б В Г Д Е Ж З И Й К Л М Н О П Р С Т У Ф Х Ч Ш Ы Э Ю Я
Книги: А Б В Г Д Е Ж З И Й К Л М Н О П Р С Т У Ф Х Ц Ч Ш Щ Ы Э Ю Я
Бесплатная онлайн библиотека LoveRead.ec

Онлайн книга «Невидимая Вселенная. Темные секреты космоса»

📃 Cтраница 42

Общая теория относительности

Но этого Эйнштейну было мало. Специальная теория относительности не включала силу тяжести, а закон всемирного тяготения Ньютона не согласовывался со специальной теорией относительности. Например, в теории Ньютона скорость гравитации считается бесконечно большой. А согласно теории относительности, ничто, даже гравитация, не может двигаться быстрее с. Эйнштейн намеревался разработать новую теорию гравитации, которая бы не зависела от единства времени и пространства Ньютона и не противоречила специальной теории относительности. В результате родилась совершенно новая теория гравитации, известная сегодня как общая теория относительности.

Чисто математически специальная теория относительности не особо сложна. Если сначала изучить постулаты Эйнштейна о скорости света и придерживаться математической теории, то, чтобы производить вычисления по этой теории, хватит и школьного образования. Общая теория относительности как с точки зрения идеи, так и вычислений стоит обособленно. Потратив семь долгих лет, в 1915 году Эйнштейн представил окончательный результат. Общая теория относительности, несомненно, является одним из величайших интеллектуальных достижений прошлого века.

Уже в специальной теории относительности Эйнштейн отказался от понимания времени и пространства как абсолютных величин. В общей же теории относительности он основательно развил эту идею. Общая теория относительности основана на понятии геометрического пространства, которое мы называем пространство-время, или пространственно-временной континуум. Пространственно-временной континуум — эго четырехмерная система отсчета, в которой время представляет собой такое же пространственное изменение, как длина, ширина и высота. Пространство-время способно менять свою кривизну. В соответствии с общей теорией относительности, объект в свободном падении всегда выберет кратчайший путь между двумя точками в пространственно-временном континууме. Согласно общей теории относительности, когда камень падает на землю, вниз его тянет, строго говоря, не совсем сила. Камень просто следует по прямой линии через искривленный континуум. И когда кажется, что брошенный камень движется по кривой траектории в наших трех измерениях, это соответствует прямой линии в искривленном отрезке пространства-времени. Возможно, это звучит крайне абстрактно. Так и есть. Но независимо от того, представляет собой «истинная» реальность искривленный пространственно-временной континуум или нет, одно мы знаем наверняка: общая теория относительности работает! Ведь ее прогнозы совпадают с реальными наблюдениями. И эта теория описывает электромагнетизм, движения и гравитационные силы без каких-либо противоречий.

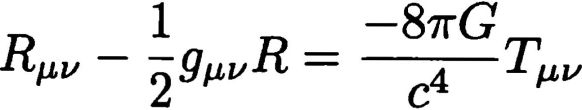
Как вы видите, уравнений в этой книге немного, но раз уж мы рассмотрели самое известное уравнение Эйнштейна (Е=mc2), то давайте взглянем и на его самые важные уравнения, составляющие основу общей теории относительности. Прошу любить и жаловать — «уравнения Эйнштейна»:

Иллюстрация к книге — Невидимая Вселенная. Темные секреты космоса [i_029.jpg]

В значение символов углубляться не станем, скажем лишь, что в целом эти уравнения гравитационного поля лежат в основе многих явлений.

Для начала — почему мы называем их «уравнения Эйнштейна», хотя выражение всего одно? Да, но греческие буквы р и v могут иметь четыре разных значения каждая (соответствующие четырем измерениям). Вот и получается: 4x4 = 16 различных комбинаций р и v и, следовательно, 16 различных уравнений, объединенных в одном. Некоторые из уравнений, правда, симметричны, поэтому остается только десять уравнений, которые нужно решить. Эти десять сложных уравнений тесно взаимосвязаны, и, как правило, найти их точное решение сложновато.

О чем нам говорят уравнения гравитационного поля Эйнштейна? Правая часть уравнения описывает количество, например, материи, энергии или излучения в пространстве-времени. Все это содержание заключено в символ Т. Левая часть содержит геометрические величины, описывающие искривление пространства-времени. А между геометрией слева и содержимым справа стоит знак равенства. В этом вся суть общей теории относительности: содержание Вселенной определяет, как будет выглядеть кривизна пространства-времени. А кривизна пространства-времени определяет, как должны двигаться объекты. Да, уравнения сложны, зато принципы просты и удивительно красивы.

Как мы обсуждали, говоря о теории MOND (Модифицированная ньютоновская динамика), общая теория относительности в большинстве случаев дает предсказания, почти идентичные закону всемирного тяготения Ньютона. Например, можно планировать полеты на Луну, используя исключительно законы Ньютона. Работать с ними гораздо проще, а результаты практически такие же, даже несмотря на длительность путешествий и зависимость от гравитационных сил. Различия между теориями Ньютона и Эйнштейна проявляются только тогда, когда гравитация становится чрезвычайно мощной, а расстояния очень большими или же при чрезвычайно точных измерениях. Пример практического использования общей теории относительности — геопозиционирование с помощью спутников GPS. Когда GPS-приемник определяет ваше местоположение, он использует очень точные сигналы времени со спутников. Здесь необходимо учитывать общую теорию относительности, чтобы достичь желаемой точности в определении положения.

Помимо геопозиционирования, общая теория относительности выдержала и другие проверки. Ранее в книге мы коснулись двух из них — гравитационного линзирования и движения перигелия Меркурия. Оба этих явления использовались в качестве первых тестов, в которых теории Ньютона и Эйнштейна давали разные результаты. В обоих случаях теория Эйнштейна доказала свое превосходство. Применив свою теорию при расчете орбиты Меркурия, Эйнштейн самостоятельно убедился в собственной правоте.

Испытания с помощью гравитационного линзирования были проведены лишь в 1919 году, после публикации работы. В те времена у нас еще не имелось ни знаний, ни оборудования для наблюдения гравитационного линзирования от скоплений галактик. Однако Эйнштейн рассчитал, насколько свет далеких звезд будет отклоняться, проходя очень близко к Солнцу. Свет отклоняется из-за гравитационных сил Солнца. Или, выражаясь в терминах общей теории относительности, свет будет двигаться через пространство-время, искривленное массой Солнца. По теории Ньютона тоже можно рассчитать такое отклонение света, но отклонение, предсказанное теорией относительности, больше.

Проблема, конечно, заключается в том, что наблюдать звезды в непосредственной близости от Солнца, как правило, невозможно. Поэтому наблюдения проводились во время полного солнечного затмения 1919 года. В момент затмения Луна перекрывает весь солнечный диск и становится настолько темно, что можно наблюдать звезды, в том числе и крайне близкие к Солнцу, а затем — понаблюдать, как меняется видимое положение звезд на небе без влияния Солнца.

Британский астроном Артур Эддингтон возглавил экспедицию на африканский остров Принсипи — одно из немногих мест, где полное солнечное затмение 1919 года было прекрасно видно с суши. Осуществить достаточно точные измерения оказалось задачей не из легких, но к результатам Эддингтона было не придраться, и их даже представили позже в том же году на собрании Королевского общества в Лондоне. Теория Эйнштейна подтвердилась. То, что старая теория Ньютона, похоже, вот-вот уступит место чему-то новому и более совершенному, не осталось незамеченным. На следующий день после заявления Эддингтона британская газета «Таймс» заявила: «РЕВОЛЮЦИЯ В НАУКЕ — НОВАЯ ТЕОРИЯ ВСЕЛЕННОЙ — ОТКАЗ ОТ ИДЕЙ НЬЮТОНА».

Вход
Поиск по сайту
Ищем:
Календарь