Книга Черно-белое мышление. Почему мы стремимся к категоризации и как избежать ловушек бинарной логики, страница 10 – Кевин Даттон

Авторы: А Б В Г Д Е Ж З И Й К Л М Н О П Р С Т У Ф Х Ч Ш Ы Э Ю Я
Книги: А Б В Г Д Е Ж З И Й К Л М Н О П Р С Т У Ф Х Ц Ч Ш Щ Ы Э Ю Я
Бесплатная онлайн библиотека LoveRead.ec

Онлайн книга «Черно-белое мышление. Почему мы стремимся к категоризации и как избежать ловушек бинарной логики»

📃 Cтраница 10

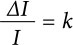
Этот порог относится ко всем пяти органам чувств. Вебер описал его в следующем законе:

Иллюстрация к книге — Черно-белое мышление. Почему мы стремимся к категоризации и как избежать ловушек бинарной логики [i_004.jpg]

I – интенсивность стимула в один момент времени, ΔI – пороговая величина увеличения, необходимая для получения заметного изменения (порог различения) в следующий момент времени, а k – соотношение между ними, которое остается постоянным для любой единицы во всех случаях изменения конкретного рассматриваемого стимула.

В качестве примера возьмем звук. Допустим, я должен представить вам один непрерывный звук громкостью в 50 децибел (I = 50), а затем медленно увеличивать громкость. Представим, что мне нужно увеличить уровень звука на 5 децибел (ΔI = 5), чтобы вы заметили, что громкость изменилась. В этом случае порог различения будет составлять 5 децибел, а отношение (k) между начальным уровнем звука и порогом различения будет 5/50 = 0,1. Используя эту информацию, я могу предположить, что если бы мы начали, например, со звука громкостью в 70 децибел, то мне пришлось бы увеличить его на 7 децибел (7/70 = 0,1), чтобы вы заметили разницу.

Закон Вебера имеет большое значение как для философии, так и для биологии. С точки зрения эволюции, человеку было необходимо выработать механизм, с помощью которого он будет фиксировать изменения вокруг, потому что этот механизм мог помочь ему выжить. Но когда дело касается кучи песка, все становится несколько сложнее. Мы можем отметить точки, в которых состояние объекта меняется, объединить их в график и заметить, что значения в начале и в конце очень сильно отличаются. Но отличия между двумя соседними точками на графике будут минимальными. Пока минутная стрелка на часах движется от одного деления к другому, мы не чувствуем никаких изменений, но вот стрелка делает целый круг, и мы понимаем, что прошел час.

Еще в 1990 году американский философ Уоррен Куинн столкнулся с Евбулидом и Вебером лицом к лицу, изучая парадокс самоистязания. Представьте, что у меня есть портативное устройство, которое позволяет мне пускать электрический ток по вашему телу, наращивая мощность настолько медленно, что вы не можете почувствовать разницы. У устройства 1001 настройка: на делении с цифрой 0 оно выключено, а при включении на отметке в 1000 оно причиняет мучительную боль. Допустим, я прикрепляю к вам устройство и предлагаю сделку. Вы должны каждую неделю поднимать мощность тока на один уровень, и за это будете получать 10 тысяч фунтов стерлингов. Но вы не сможете вернуться даже на одно деление назад. Если вы поймете, что не можете вынести боль, вы не сможете отказаться от накопленных денег и будете обязаны продолжать страдать от боли до конца жизни. Вы бы приняли такой вызов?

Уверен, что-то подсказывает вам, что нужно быть сумасшедшим, чтобы согласиться на такое. С другой стороны, парадокс кучи накладывает свои чары: неважно, на сколько уровней вы повысите мощность тока, ведь эти песчинки никогда не превратятся в кучу. Боль останется болью.


По сей день Радж Сегал все еще очень доволен собой. Он был прав. Парадокс кучи – это проблема паркрана, Содома и Гоморры. Мы не можем сказать, когда количество выкуренных сигарет, съеденного мороженого, выпитых коктейлей или набранных килограммов станет критичным. Еще один бургер или шот джина не навредят, так ведь? Часто серьезные проблемы возникают годами, и мы можем не замечать опасности, что вот-вот появится на горизонте. Поэтому нам и нужны границы и рамки.

Когда я пытаюсь понять, как этот парадокс влияет на повседневную жизнь, я думаю не только о последствиях злоупотребления сладким или фастфудом.

Около двух с половиной тысяч лет назад, в «Государстве» Платона, греческий философ Сократ сравнил общество с толпой связанных людей, сидящих в пещере, которые могут смотреть лишь прямо перед собой. Они сидят спиной к огню и видят тени на стенах. Они думают, что именно так и выглядит реальность, в то время как она состоит из подлинных вещей, которые отличаются от расплывчатых силуэтов.

Я считаю, что аллегория Сократа ошибочна. На самом деле это реальность нестабильна и неясна, а не человеческое восприятие, у которого, конечно, есть свои недостатки. Мы делаем реальность «чище», проводя границы между явлениями благодаря врожденной склонности категоризировать. Мы видим закономерности и карикатурно изображаем то, что нас окружает. Мы рисуем линии на песке, чтобы отделить значимое от незначительного.

Способность самостоятельно определять границы приносит проблемы, особенно в моменты, когда нужно принять важное решение. Возьмем, к примеру, сферу медицины. «Чтобы оставаться здоровым, нужно больше спать», – гласит один из заголовков в СМИ. «Забудьте о восьмичасовом сне: чтобы выспаться, человеку нужно всего шесть часов», – кричит другой. Баннер с надписью «Стресс отнимает у вас годы жизни» противопоставляют баннеру «Стресс может быть полезен для вас». «Медицинские маски не могут помешать здоровым людям заболеть COVID-19» – «Борис Джонсон утверждает, что британцам следует носить маски, когда страна выйдет из режима изоляции». Так работают средства массовой информации: они используют яркие заголовки, чтобы зацепить наше внимание. Они предлагают нам противоречивую информацию, влияя на то, где мы проведем границу между правдой и ложью.

Чтобы занять определенную точку зрения и доказать ее правдивость, нужно собрать весомые аргументы и изучить их, сформировать ядро основополагающих тезисов и принципов, на что может уйти очень много сил и времени. Но когда времени не хватает, проверенная и кропотливо отобранная информация теряет свою привлекательность на фоне яркого утверждения, построенного по принципу «все или ничего». Так устроен наш черно-белый мозг.

Нас тянет к уже готовым выводам в пестрой обертке, и в будущем это стремление может привести к катастрофе. Мир наших предков вполне мог быть черно-белым, но сейчас окружающая нас реальность стала серой. Мы проводим границы, чтобы создать контраст, потому что можем отличить белое от черного, только противопоставив их. Но чем ярче этот контраст, тем меньше мы погружаемся в детали. А это может привести к ошибочным суждениям.

Глава 3
Когда сталкиваются категории

Свет существует только в присутствии тьмы, а истина – в присутствии лжи. Противоположности наполняют нашу жизнь, делаяя ее опьяняющей. Мы живем в рамках конфликта, в зоне столкновения черного и белого.

Луи Арагон

13 ноября 1999 года в Цезарь-Палас в Лас-Вегасе британский боксер Леннокс Льюис победил американца Эвандера Холифилда и стал абсолютным чемпионом мира в тяжелом весе. Поединок длился полные 12 раундов, и судьи единогласно присудили победу Льюису. Когда объявили результат, британцы сошли с ума. Победа была особенно приятной, потому что всего восемь месяцев назад в Мэдисон-Сквер-Гарден в Нью-Йорке в бою с тем же соперником спортсмена-британца лишили титула со скандалом.

Вход
Поиск по сайту
Ищем:
Календарь