Онлайн книга «Армия Наполеона»
|
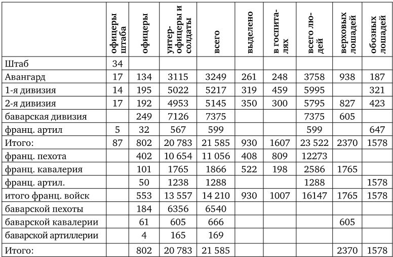
Штаб инженерных войск при генеральном штабе Начальник – дивизионный генерал Мареско (первый генерал инспектор инженерных войск), адъютанты ком. эск. Маливуар, ком. эск. Перрен, кап. Дешалар Начальник штаба – майор Дюкудре Начальник инженерных войск в Аугсбурге – командир батальона Рузье Капитаны штаба – Курле, Филибер, Лебель (ожидается из Франции), Лоран, Давид, Планьоль (находится в Райне) Лейтенанты штаба – Риоле, Сальтон, Жаммен Общая администрация Генерал-интендант Великой Армии – государственный советник Петие Военные комиссары – Монтьери (находится в Аугсбурге), Мазо, Бартомóф, Друэн Административные службы при генеральной квартире Генеральный казначей Руген Главный врач Кост Главный хирург Перси Главный фармацевт Пармантье Управляющие хлебно-продовольственной службой Деньо и Бажó Управляющий мясо-продовольственной службой Валлетт Управляющий службой фуража Лонуа Управляющий службой отопления Андре Управляющий лагерной службой Риксе Управляющий службой госпиталей Мурон Директор транспортной службы Тевенен Жандармерия при генеральной квартире: 1 лейтенант, 2 вахмистра, 4 бригадира, 33 жандарма Инспекторская служба Главный инспектор по смотрам Вильманзи Инспектор по смотрам Фририон (инспектор по смотрам, ответственный за управление имуществом, принадлежащим австрийскому правительству, в районах, занятых французской армией) Инспектор по смотрам Моринье Помощник военного комиссара Деламар Общий итог офицеров и чиновников штаба: при начальнике генерального штаба состоит 60 офицеров при генерале Андреосси – 29 офицеров при генерале Матье Дюма – 9 при генерале Сансоне – 11 сверхштатные офицеры «а la suite» – 14 штаб артиллерии – 14 штаб инженерных войск – 17 общая администрация – 17 чиновников инспекторская служба – 4 чиновника жандармерия – 107 человек Итого: 282 человека. 1-Й АРМЕЙСКИЙ КОРПУС Командующий – Маршал Империи Бернадот Адъютанты командующего: полковник штаба (adjudant commandant) Жерар, командир эскадрона Шалопен, ком. эск. Го, лейт. Виллат, лейт. Лебрен Начальник штаба – дивизионный генерал Леопольд Бертье; адъютанты: кап. Перне, кап. Ожеранвиль Полковник штаба Мезон; капитаны штаба (adjoints а l’état-major): Го, Латур, Фигье, Клари, Дефере, Зиммер; польские офицеры Даринский и Поморовский Командующий артиллерией корпуса – дивизионный генерал Эбле; адъютанты: кап. Котен, лейт. Пешó Начальник штаба артиллерии корпуса – полковник Форно; адъютанты: ком. эск. Лоран, кап. Альпи Командующий инженерными войсками корпуса – полковник Морио, при нем состоят кап. Куше и Валлоз Инспектор по смотрам – Лаланс, субинспектор – Лаббе-Брианкур Комиссар-распорядитель – Мишо, комиссары Берне, Крузе Командир жандармерии– капитан Вайан, при нем 53 жандарма, 50 лошадей Эскорт г-на Маршала Бернадота – 63 человека, 65 лошадей ДИВИЗИИ Дивизия Авангарда 1-го корпуса Командир – Дивизионный генерал Келлерман; адъютанты ком. бат. Шуар, кап. Эрдебу, лейт. Танкарвиль Бригадный генерал Фрер; адъютанты: кап. Альбер, су-лейт. Севр Бригадный генерал Пикар; адъютанты: кап. Кондат, лейт. Кюсси Начальник штаба – полковник штаба Нуазе; кап. штаба Стик Командир артиллерии – полковник Навеле; ком. эск. Лепен Командир инженерных войск – Армуа Инспектор по смотрам – Вилен Военный комиссар – Селен ![]() 1-я дивизия 1-го корпуса Командир – Дивизионный генерал Риво; адъютанты: кап. Лажон, ком. бат. Фавр Бригадный генерал Дюмулен; адъютант: кап. Кабуэ Бригадный генерал Пакто; адъютант: лейт. Дюверже Начальник штаба – полковник штаба Шодрон Руссо; кап. штаба Вирио, Вильмен Командир артиллерии – ком. бат. Лежандр Командир инженерных войск – кап. Трóссар Инспектор по смотрам – лейт. Шамбель Военный комиссар – Мони ![]() 2-я дивизия 1-го корпуса Командир – Дивизионный генерал Друэ; адъютанты: ком. бат. Гишар, кап. Дежарден, лейт. Боннер Бригадный генерал Верле; адъютант лейт. Лепик Бригадный генерал Ван-Маризи; адъютант кап. Белла Начальник штаба – полковник штаба Лютье; кап. штаба Бижи и Лебретон Командир артиллерии – ком. бат. Роло Командир инженерных войск – кап. Лепо; кап. Жиро Инспектор по смотрам – Гаспар Военный комиссар – Фуркад, пом. воен. комис. Петито ![]() Баварская Дивизия Авангарда Командир – Дивизионный генерал фон Вреде ![]() Французская артиллерия 1-го корпуса Командир артиллерии – полковник Умбер, ком. бат. Жювиьи; кап. штаба Брандо, Вьевиль, Шарле ![]() ИТОГО В 1-ОМ КОРПУСЕ АРМИИ на 18 брюмера XIV года ![]() 2-Й АРМЕЙСКИЙ КОРПУС Командующий – генерал Мармон (генерал-полковник конных егерей) Адъютанты командующего: полк. Дево, ком. эск. Ришмон, Гэ, Тери, Леклерк, Шатри Лафосс, батавский (голландский) кап. Теста, Риго Начальник штаба– дивизионный генерал Виньоль; адъютанты кап. Менадье и Буассак Полковники штаба Делор, Сериз, Порсон; при них кап. штаба Биже, Шаруа, Жард, Лемьер, Бер, Зимерский |
![Иллюстрация к книге — Армия Наполеона [i_190.jpg] Иллюстрация к книге — Армия Наполеона [i_190.jpg]](img/book_covers/104/104091/i_190.jpg)
![Иллюстрация к книге — Армия Наполеона [i_191.jpg] Иллюстрация к книге — Армия Наполеона [i_191.jpg]](img/book_covers/104/104091/i_191.jpg)
![Иллюстрация к книге — Армия Наполеона [i_192.jpg] Иллюстрация к книге — Армия Наполеона [i_192.jpg]](img/book_covers/104/104091/i_192.jpg)
![Иллюстрация к книге — Армия Наполеона [i_193.jpg] Иллюстрация к книге — Армия Наполеона [i_193.jpg]](img/book_covers/104/104091/i_193.jpg)
![Иллюстрация к книге — Армия Наполеона [i_194.jpg] Иллюстрация к книге — Армия Наполеона [i_194.jpg]](img/book_covers/104/104091/i_194.jpg)
![Иллюстрация к книге — Армия Наполеона [i_195.jpg] Иллюстрация к книге — Армия Наполеона [i_195.jpg]](img/book_covers/104/104091/i_195.jpg)