Книга Его величество тестостерон. Путеводитель по жизни, полной сил, страница 9 – Эдуард Безуглов, Артемий Лазарев, Георгий Мсхалая

Авторы: А Б В Г Д Е Ж З И Й К Л М Н О П Р С Т У Ф Х Ч Ш Ы Э Ю Я
Книги: А Б В Г Д Е Ж З И Й К Л М Н О П Р С Т У Ф Х Ц Ч Ш Щ Ы Э Ю Я
Бесплатная онлайн библиотека LoveRead.ec

Онлайн книга «Его величество тестостерон. Путеводитель по жизни, полной сил»

📃 Cтраница 9

♦ возрастное снижение уровня тестостерона, снижение на фоне малоподвижного образа жизни, избыточного веса, диабета, стресса, недостатка сна, а также при других хронических заболеваниях – при этом функция и яичек, и головного мозга сохранена.

Последняя группа причин встречается чаще всего.

Известно, что концентрация тестостерона снижается примерно на 1 % начиная с 30 лет, и этот процесс ускоряется на фоне избыточного веса, сахарного диабета 2-го типа, хронической обструктивной болезни легких и других состояний.

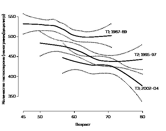
Представляет интерес и тот факт, что уровень тестостерона у мужчин падает с каждым следующим поколением. К такому неутешительному выводу пришли американские ученые (Travison и соавторы), в исследовании которых были проанализировали уровни тестостерона у случайно выбранных мужчин в трех временных интервалах: 1987–1989, 1995–1997 и 2002–2004 годы. В итоге авторы обнаружили, что уровень тестостерона за последние десятилетия значимо снизился: с 501 нг/дл в 1987–1989 годы до 391 нг/дл в 2002–2004 годы, что, правда, все еще является принятой большинством специалистов нормой (см. рисунок). А вот убедительных доказательств причин такого снижения исследователи пока найти не смогли.

Учитывая важность тестостерона для мышечной силы, неудивительно, что исследования о разнице в силе у представителей разных поколений демонстрируют схожие результаты, в том числе в России.

Так, 17-летний юноша, проживающий в Москве, в 1991 году показывал силу правой кисти на 19 % ниже уровня 1970 года. А в 2004 году снижение силы относительно 1991 года составило еще 10 %. В целом юноши за этот период потеряли в силе кисти 27 %, девушки – 33 %. В США ситуация похожая: сила кисти у молодых мужчин в возрасте 20–34 лет снизилась на 17 % в 2016 году по сравнению с 1985 годом.

Похожие показатели демонстрирует и частота занятий сексом. Количество девственников в возрасте 20–24 лет с 1989 года по 2014 возросло с 6,3 до 15,2 %. За 1999–2014 года частота половых актов упала на 14 %. Среднее количество сперматозоидов в одном миллилитре семенной жидкости снизилось с 99 млн в 1973 году до 47 млн в 2011 году.

Иллюстрация к книге — Его величество тестостерон. Путеводитель по жизни, полной сил [i_009.jpg]

Рисунок. Уровень тестостерона у мужчин разных поколений

Воздействие тестостерона на организм

Тестостерон и дегидротестостерон отвечают за формирование мужской половой системы (полового члена, мошонки, предстательной железы и семенных пузырьков) во время внутриутробного развития, а при половом созревании – за формирование вторичных половых признаков: увеличение полового члена, оволосение по мужскому типу, изменение голоса, рост костей в длину и ширину, а также за рост мышечной массы.

Если же говорить о влиянии тестостерона на взрослый организм, то наиболее показательным будет факт того, что единственным органом, где нет к нему рецепторов, является селезенка. То есть андрогенные рецепторы есть везде, и вполне логично ожидать от этого гормона и его производных целого спектра биологических эффектов и в организме взрослых людей.

Воздействие на половую и репродуктивную сферу

Важная роль тестостерона в формировании полового влечения (либидо) и его воздействия на эрекцию хорошо известна. При этом такое воздействие можно рассматривать как «вершину айсберга». Именно тестостерон играет ключевую роль для возникновения и удержания эрекции, адекватного количества эрекций по утрам, а также обуславливает возможность достижения оргазма и его яркость.

Тестостерон оказывает важное воздействие и на механизм образования спермы, влияя как на созревание самих сперматозоидов, так и на функцию добавочных половых желез: предстательной железы и семенных пузырьков, которые участвуют в образовании спермы. Помимо этого есть данные о влиянии уровня тестостерона на вероятность достижения беременности даже методом ЭКО (экстракорпорального оплодотворения). Так, в парах с низким уровнем тестостерона у партнера вероятность достижения беременности женщиной была на 65 % ниже.

Препараты, снижающие образование или эффект эстрогенов, не рекомендованы к применению в рутинной клинической практике и применяются строго по показаниям и только при наличии весьма серьезных показаний к применению.

Необходимо отметить и важнейшую роль эстрогенов у мужчины – об этом уже упоминалось ранее. Так, эстрогены оказывают ключевую роль в формировании полового влечения у мужчин, а снижение их уровня даже при высоком тестостероне может снижать либидо и эрекцию. Эстрогены также важны и для реализации репродуктивной функции: образование эстрогенов из тестостерона происходит во многих тканях яичка и даже в сперматозоидах, эстрогены влияют на образование и подвижность сперматозоидов. Поэтому препараты, снижающие образование или эффект эстрогенов, не рекомендованы к применению в рутинной клинической практике и применяются строго по показаниям и только при наличии весьма серьезных показаний к применению.

Мышечная и жировая масса

Воздействие тестостерона на рост и силу мышечной массы хорошо изучено, именно поэтому он, как и другие андрогены, зачастую является предметом злоупотребления у людей, которые пытаются достигнуть высоких показателей в спорте.

Если же говорить о медицинской составляющей, то поддержание нормального уровня тестостерона позволяет уменьшить риск такого состояния, как саркопения – резкое снижение мышечной массы и мышечной силы, значимо связанное со снижением качества и продолжительности жизни.

Тестостерон крайне важен и для поддержания нормального количества жировой ткани. В целом ряде проведенных научных исследований нормализация уровня тестостерона у людей с избыточным весом приводила к снижению уровня жировой ткани, которое сохранялось длительное время. Таким образом, можно утвердительно говорить не только об одномоментном и локальном воздействии тестостерона, но и о его комплексном воздействии на обмен веществ. При этом также важно отметить роль эстрогенов в сжигании жировой клетчатки: снижение эстрогенов приводило к набору жировой ткани, несмотря на высокие показатели тестостерона.

Воздействие на плотность костей и риск переломов

Тестостерон и эстрадиол, синтезирующийся из тестостерона, участвуют и в обновлении костной ткани. До 25–30 лет у человека идет набор костной массы. Кости растут в длину и толщину и к третьему десятку достигают своего пика – их масса и плотность становятся максимальными. При этом существует ряд состояний (низкий уровень тестостерона, врожденный или приобретенный дефицит витамина D, нарушения питания), которые приводят к нарушению образования костей, а значит, и плотность костной ткани у таких людей изначально ниже. Половые гормоны крайне необходимы для сохранения нормальной плотности костей, а снижение уровней тестостерона и эстрадиола является значимым фактором риска повышенного риска развития остеопороза и переломов, в том числе таких как переломы позвоночника и бедренной кости (Kacker и соавторы). А ведь такие переломы требуют зачастую хирургического вмешательства и длительной реабилитации, повышая смертность, особенно в пожилом возрасте.

Вход
Поиск по сайту
Ищем:
Календарь