Онлайн книга «Лаборатория химических историй. От электрона до молекулярных машин»
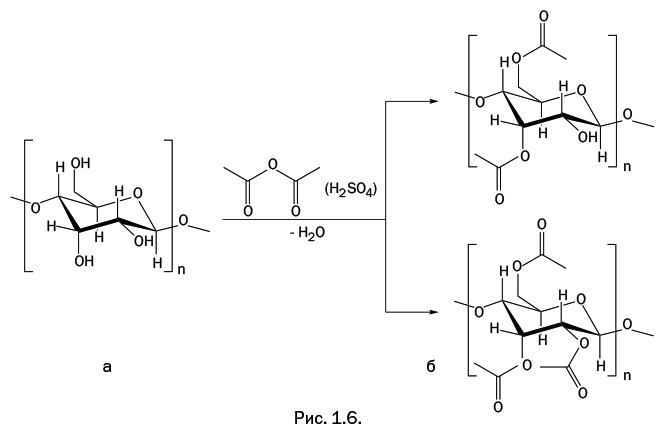
![]() В результате все молекулы оказываются объединенными в единую структуру, напоминающую сшитый полимер. Водородная связь в 15–20 раз слабее ковалентной связи, однако следует помнить, что водородные связи располагаются по всей длине достаточно протяженной молекулы. Получается, что «много слабых вместе – это сила». Поэтому чрезвычайно трудно отделить одну молекулу от другой и перевести ее в раствор. Молекулы цепляются друг за друга, словно застежки-липучки на одежде и обуви. Несмотря на то что каждый маленький крючок такой застежки держится за противоположную поверхность не очень крепко, невозможно расцепить все крючки разом. Кажется вполне логичным, что для растворения целлюлозы надо заменить гидроксильные группы другими – такими, которые не образуют сетку поперечных связей. Первое решение этой задачи было найдено давно. В 1885 г. французский химик Л. Шардонне предложил получать искусственное волокно из целлюлозы, заменив в ней гидроксильные группы нитрогруппами, которые образуются при нитровании азотной кислотой. Поскольку побочный продукт – это вода, то для ее связывания в реакционную систему вводили концентрированную серную кислоту, которая реагирует с водой, образуя гидраты (рис. 1.5). ![]() Полимер хорошо растворялся в спиртоэфирной смеси, образуя прядильный раствор, пригодный для формования волокон. Однако полученные волокна были непригодны для прямого использования, поскольку оказались необычайно горючими. Напомним, что нитроцеллюлоза – основное исходное соединение при изготовлении бездымного пороха. Чтобы снизить горючесть, из отформованного волокна нитрогруппы удаляли длительной обработкой гидросульфидом аммония NH4SH. В результате всех этих процедур происходил частичный разрыв макромолекул, и механическая прочность волокна заметно снижалась. Тем не менее нитроцеллюлоза нашла свое применение: на ее основе был создан первый в истории промышленный пластик – целлулоид, содержащий 75 % нитроцеллюлозы и 25 % камфары в качестве пластификатора. Пластификатор – это вещество, которое вводят в состав полимерных материалов для повышения его эластичности или пластичности (то есть чтобы полимерный материал стал пластиком). Он был разработан американским изобретателем Д. У. Хайатом в 1869 г. Основная цель изобретения состояла в том, чтобы найти материал, заменяющий дорогую слоновую кость, которую использовали в производстве бильярдных шаров. Целлулоид быстро стал популярным: из него, помимо бильярдных шаров, начали делать линейки, расчески, корпуса музыкальных инструментов, мячи для настольного тенниса и детские игрушки. Огромную роль целлулоид сыграл в развитии кинематографии – он стал прозрачной основой кинопленки. Целлулоид обладает массой достоинств: изделия из него можно получать отливкой и прессованием, он легок, прочен, отлично полируется, подвергается механической обработке, подобно кости и рогу, легко окрашивается, при нагревании изделия до 120 ℃ снова становится пластичным и принимает любую форму. Однако все эти достоинства перечеркиваются одним недостатком – целлулоид исключительно пожароопасен и может гореть без воздуха, поскольку по составу близок к бездымному пороху. История помнит жуткие пожары в кинобудках и на складах фотоматериалов. В настоящее время этот пластик на основе природного полимера полностью заменили другие полимеры. Пожароопасность удалось исключить, когда вместо нитрогрупп в состав целлюлозы ввели ацетатные группы CH3C(=O)O-. В элементарном звене целлюлозы находятся три гидроксильные НО-группы: возможно ацетилирование как двух НО-групп, так и трех (рис. 1.6а, б). Ацетилирование – это химическая реакция, в ходе которой атом водорода замещается на остаток уксусной кислоты CH3CO. Уксусная кислота ацетилирует очень слабо, поэтому используют более активный уксусный ангидрид, а для связывания выделяющейся воды применяют концентрированную серную кислоту, как и в производстве нитроцеллюлозы. ![]() Ацетатцеллюлоза впервые была получена П. Шутценбергером в 1865 г. в Германии. Он сразу отметил, что, в отличие от нитроцеллюлозы, новое соединение плохо загорается и быстро гаснет. Ацетатцеллюлозное волокно оказалось мягким, эластичным, малосминаемым, однако оно обладает невысокой прочностью, поэтому при изготовлении тканей в него добавляют натуральные и синтетические волокна. Триацетат целлюлозы полностью вытеснил нитроцеллюлозу из кино– и фотопромышленности, а также стал основным материалом при изготовлении магнитофонных лент. Пластмассы на основе триацетата целлюлозы (рис. 1.6б), называемые этролами, используют в производстве трубопроводов, через которые транспортируется природный газ, при изготовлении деталей автомобилей, самолетов, судов (штурвалов, приборных щитков, пригодных для работы в экстремальных условиях Арктики и тропиков). Триацетат целлюлозы – абсолютный лидер среди материалов, применяемых в производстве оправ очков – около 70 % всех производимых пластмассовых оправ. Диацетат целлюлозы (рис. 1.6а) содержит НО-группы и, соответственно, гидрофилен (то есть не отталкивает воду). Его используют в качестве полимера-носителя для лекарственных препаратов продолжительного действия. Диацетатные пленки применяют для остекления теплиц и парников, так как они пропускают УФ-лучи. Если еще уменьшить количество ацетатных групп и, соответственно, увеличить содержание НО-групп, то полимер можно использовать в хирургии – в случаях, когда необходимо накладывать швы с рассасывающимися нитями. Итак, результаты химической модификации целлюлозы оказались успешными. А можно ли просто растворить целлюлозу, никак не модифицируя, не изменяя ее состав и не разрушая полимерные цепи? Ранее было сказано, что целлюлоза ни в чем не растворялась, однако для химии нет ничего невозможного – за исключением тех случаев, когда требуется нарушить законы природы. В целом предполагалось, что если на некоторое время разрушить водородные связи и затем получить из раствора волокно, то эти связи восстановятся сами, и мы вновь получим исходную целлюлозу. Разрушить водородные связи можно, если ввести в полимер какое-то высокополярное соединение, которое будет взаимодействовать с гидроксильными группами более интенсивно, чем гидроксильные группы между собой. В этом случае можно рассчитывать на то, что соединение, постепенно проникая внутрь с поверхности, будет размыкать "крючки" водородных связей. Растворитель для целлюлозы был найден в 1857 г. швейцарским химиком Э. Швейцером. Это было весьма необычное соединение, которое никогда и никем не рассматривалось в качестве растворителя – водный раствор комплексного соединения гидроксида меди с аммиаком [Cu(NH3)n](OH)2, n= 4 ÷ 6 (диапазон в значении "n" указывает на то, что это комплекс переменного состава). Его получают растворением гидроксида меди Cu(OH)2 в водном аммиаке (нам его раствор известен как нашатырный спирт, который в медицине применяют при потере сознания). Целлюлоза растворяется в медно-аммиачном комплексе при комнатной температуре, затем раствор продавливается через фильеру в ванну с проточной водой. Медно-аммиачный комплекс вымывается, а полученное волокно по составу будет представлять собой исходную целлюлозу. Тем не менее при этом происходит некоторая трансформация, немного изменяется пространственное расположение звеньев полимерной молекулы, а полученные волокна совсем не похожи на хлопковое волокно. Они имеют блестящую поверхность и внешне напоминают натуральный шелк, поэтому такое волокно стали называть медно-аммиачным шелком. Оно оказалось непрочным. В 1901 г. работы немецкого химика Ф. Тиле ознаменовали следующий этап в истории этого волокна: формование стали проводить с одновременной вытяжкой, благодаря чему участки полимерных цепей ориентировались вдоль оси волокна, что привело к заметному повышению прочности. |
![Иллюстрация к книге — Лаборатория химических историй. От электрона до молекулярных машин [i_007.jpg] Иллюстрация к книге — Лаборатория химических историй. От электрона до молекулярных машин [i_007.jpg]](img/book_covers/103/103526/i_007.jpg)
![Иллюстрация к книге — Лаборатория химических историй. От электрона до молекулярных машин [i_008.jpg] Иллюстрация к книге — Лаборатория химических историй. От электрона до молекулярных машин [i_008.jpg]](img/book_covers/103/103526/i_008.jpg)
![Иллюстрация к книге — Лаборатория химических историй. От электрона до молекулярных машин [i_009.jpg] Иллюстрация к книге — Лаборатория химических историй. От электрона до молекулярных машин [i_009.jpg]](img/book_covers/103/103526/i_009.jpg)