Книга Лаборатория химических историй. От электрона до молекулярных машин, страница 13 – Михаил Левицкий

Авторы: А Б В Г Д Е Ж З И Й К Л М Н О П Р С Т У Ф Х Ч Ш Ы Э Ю Я
Книги: А Б В Г Д Е Ж З И Й К Л М Н О П Р С Т У Ф Х Ц Ч Ш Щ Ы Э Ю Я
Бесплатная онлайн библиотека LoveRead.ec

Онлайн книга «Лаборатория химических историй. От электрона до молекулярных машин»

📃 Cтраница 13

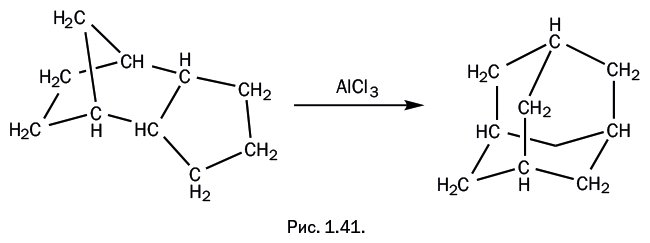
Каталитическая перегруппировка полученного соединения в присутствии безводного хлорида алюминия приводит к адамантану (рис. 1.41). Почему происходит такая перестройка молекулы? Все дело в том, что катализатор AlCl3 направляет реакцию в сторону образования более устойчивого – то есть энергетически более выгодного – соединения.

Иллюстрация к книге — Лаборатория химических историй. От электрона до молекулярных машин [i_044.jpg]

Такая методика была предложена в 1957 г. П. Шлеером: двухстадийный синтез дает выход 20 %, в результате адамантан стал доступным соединением, что позволило перейти к его активному изучению. Главным персонажем в описанных событиях является, разумеется, адамантан, а второй важный участник – это катализатор, безводный хлорид алюминия, который направил реакцию в нужную сторону. Каталитические возможности AlCl3 в органической химии столь велики, что ему посвятили объемную монографию в 1000 страниц. На этом фоне участие циклопентадиена кажется незначительным. Но не стоит забывать о том, что при создании архитектурных шедевров все же необходимы исходные блоки нужной формы – без них постройка невозможна.

От подсобной роли к основной

Все рассмотренные выше примеры показывают, что циклопентадиен сыграл роль хорошего «помощника» при решении различных задач. Но наступил момент, когда он стал интересен сам по себе. Начало этой истории проходило без участия «героя» нашего рассказа. В 2005 г. трем ученым – французу Иву Шовену и американцам Роберту Граббсу и Ричарду Шроку – была присуждена Нобелевская премия по химии за открытие и разработку реакции метатезиса (греч. μετάθεσις – «перемещение»), ее называют также обменной реакцией. Общая схема проста и наглядна: при взаимодействии двух молекул олефинов (углеводороды, содержащие двойные связи) между ними происходит обмен органическими группами, присоединенными к двойной связи (рис. 1.42).

Иллюстрация к книге — Лаборатория химических историй. От электрона до молекулярных машин [i_045.jpg]

Возможен и более сложный вариант, когда у исходных олефинов – четыре разных заместителя: A, B, C, D. В итоге получаются четыре новых олефина A-C, B-D, A-D, B-C (рис. 1.43).

Иллюстрация к книге — Лаборатория химических историй. От электрона до молекулярных машин [i_046.jpg]

Ключевую роль играет катализатор металлокарбен – соединение, в котором атом металла связан двойной связью с углеродом М=С (M = Mo, W, Re, Ru). Реакция проходит в одну стадию и без образования побочных продуктов, что позволяет создавать на ее основе экологически чистые производства. Метатезис открыл возможность синтеза новых лекарственных препаратов, пестицидов, органических реактивов, но самым необычным оказалось следующее: при действии катализатора на циклическую молекулу, содержащую двойную связь (циклический олефин), происходит размыкание цикла с его одновременной полимеризацией. Представьте – словно двойную связь в цикле разрезали ножницами (рис. 1.44)! Это оказалось принципиально новым типом полимеризации.

И наконец, свои возможности смог реализовать циклопентадиен: его димер содержит и циклические фрагменты, и двойные связи. Он полимеризуется по той же схеме, что показана на рис. 1.44. В образующемся линейном полимере у циклического фрагмента в каждом полимерном звене остается двойная связь. Она реагирует с двойной связью в соседней молекуле, и в результате получается сшитый полимер (рис. 1.45).

Иллюстрация к книге — Лаборатория химических историй. От электрона до молекулярных машин [i_047.jpg]
Иллюстрация к книге — Лаборатория химических историй. От электрона до молекулярных машин [i_048.jpg]

Полидициклопентадиен превосходно сочетает химическую и коррозионную стойкость, жесткость, высокую ударную вязкость и термостойкость. В блоке этого полимера толщиной 3,8 см застревают девятимиллиметровые пули – что сразу наводит на мысль рекомендовать его для изготовления пуленепробиваемых жилетов. Но с такой задачей уже неплохо справляется кевлар (см. раздел «Самый прочный полиамид»). Возможности использования полидициклопентадиена неизмеримо более масштабные. Из него изготавливают корпуса тракторов, радиаторы и детали кузовов автомобилей, громадные параболические антенны, цистерны для перевоза и хранения агрессивных жидкостей, плавательные бассейны индивидуального пользования (гигантское бесшовное корыто). Его несомненное достоинство также в том, что исходное сырье доступное и недорогое. И еще одно преимущество, которое редко обсуждают при оценке свойств полимера, – это общее потребление энергии, необходимое для производства изделия. У полидициклопентадиена оно в четыре раза ниже, чем у одного из самых распространенных полимеров – полипропилена. Название полимера «полидициклопентадиен» и его аббревиатура ПДЦПД труднопроизносимы (особенно нехимиками), и в последнее время утвердилось его международное название Telene.

Возвращаясь к основной теме рассказа, отметим, что обсуждаемый нами циклопентадиен сумел не только показать свою полезность при решении важных задач, но и стать основой полимера, который сегодня является безусловным лидером.

Традиция, логика, расчет

Существуют научные термины, происхождение которых уходит в древность, но до сих пор их используют и в физике, и в химии. Например, слово «атом» (от греч. ἄτομος – «неделимый») постоянно встречается в научных текстах, несмотря на то что ядерная химия давно и успешно изучает расщепление атома. Другой пример: слово «эфир» (греч. aἰθήρ) употреблялось древними греками для обозначения верхнего лучезарного слоя воздуха – местопребывания богов. В поэзии это образ воздушного пространства.

Ночной зефир
Струит эфир.
А. С. Пушкин, 13 ноября 1824 г.

(Зефир – поэтическое название западного ветра, а также широко известное кондитерское изделие.)

Тебя я, вольный сын эфира,
Возьму в надзвездные края…
М. Ю. Лермонтов. Демон

По мнению физиков XVIII–XIX вв., эфир – это некая среда, заполняющая мировое пространство. Через нее действуют различные силы – например, гравитация. В химии эфирами называют класс органических соединений, состоящих из двух органических групп, связанных атомом кислорода R-O-R (простые эфиры) или содержащих фрагмент RC(=O)OR (сложные эфиры). Термин «эфир» пришел в химию благодаря диэтиловому эфиру EtOEt, полученному еще в XIV в. и названному так из-за крайне высокой летучести: его температура кипения – всего 34,6 оС. То есть он почти мгновенно испаряется на ладони. Примечательно, что на практике диэтиловый эфир часто называют серным эфиром, хотя никакой серы в нем нет. Дело в том, что его получают в присутствии серной кислоты, которая забирает воду у этилового спирта, в результате чего образуется этот эфир.

Вход
Поиск по сайту
Ищем:
Календарь