Книга Кодекс долголетия. Что заставляет нас стареть, зачем это нужно и как «обмануть» эволюцию: пошаговое руководство, страница 84 – Крис Вербург

Авторы: А Б В Г Д Е Ж З И Й К Л М Н О П Р С Т У Ф Х Ч Ш Ы Э Ю Я
Книги: А Б В Г Д Е Ж З И Й К Л М Н О П Р С Т У Ф Х Ц Ч Ш Щ Ы Э Ю Я
Бесплатная онлайн библиотека LoveRead.ec

Онлайн книга «Кодекс долголетия. Что заставляет нас стареть, зачем это нужно и как «обмануть» эволюцию: пошаговое руководство»

📃 Cтраница 84

Аминокислоты формируют длинную нить, похожую на жемчужную. Каждая такая нить – белок. Последовательность аминокислот на нити определяет тип белка. Один белок, например, начинается с последовательности «глицин-аргинин-триптофан», другой – с последовательности «триптофан-триптофан-аргинин» и т. д. Различных сочетаний может быть очень много. Из двадцати типов аминокислот формируется около 100 000 различных белков в организме. Некоторые белки состоят лишь из нескольких десятков аминокислот; инсулин, например, представляет собой нить из 51 аминокислоты. Другие белки – гигантские, например, титин, важный мышечный белок, состоящий из 30 000 аминокислот.

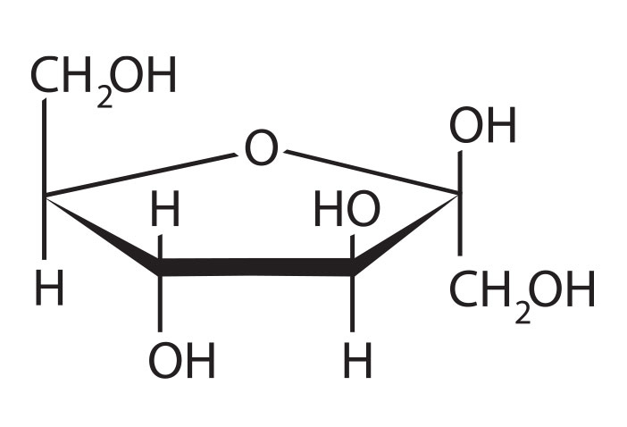
Что такое углеводы?

Как и белки, углеводы состоят из атомов. Углеводы по-другому называют сахарами. Глюкоза – это один из самых простых углеводов. Она может действовать как самостоятельно, так и служить базовой единицей формирования более крупных углеводов (длинных сахарных цепочек). Сама глюкоза состоит из шести атомов, расположенных в форме шестиугольника, и еще нескольких атомов, прикрепленных к ним.

Иллюстрация к книге — Кодекс долголетия. Что заставляет нас стареть, зачем это нужно и как «обмануть» эволюцию: пошаговое руководство [i_038.jpg]

Глюкоза. C – атом углерода, O – атом кислорода, H – атом водорода.


Кубик виноградного сахара (глюкозы) состоит из миллиардов отдельных молекул глюкозы. Фруктоза (фруктовый сахар), как и глюкоза, является базовой единицей, но она состоит из пяти атомов, расположенных в форме пятиугольника, и еще нескольких атомов, прикрепленных к ним.

Иллюстрация к книге — Кодекс долголетия. Что заставляет нас стареть, зачем это нужно и как «обмануть» эволюцию: пошаговое руководство [i_039.jpg]

Фруктоза. C – атом углерода, O – атом кислорода, H – атом водорода.


Точно так же, как аминокислоты, соединяясь вместе в длинные нити, формируют белки, простые сахара, например, глюкоза и фруктоза, могут соединяться вместе, формируя сахарные цепочки. Когда одна молекула глюкозы соединяется с одной молекулой фруктозы, получается сахароза. Сахароза – это научное название сахара, который мы регулярно добавляем в кофе и чай.

Иллюстрация к книге — Кодекс долголетия. Что заставляет нас стареть, зачем это нужно и как «обмануть» эволюцию: пошаговое руководство [i_040.jpg]

Сахароза (столовый белый сахар) состоит из связанных друг с другом молекул глюкозы и фруктозы.


Углеводы могут состоять и из намного более длинных цепочек. Крахмал, например, состоит из тысяч молекул глюкозы, соединенных вместе. Крахмал, содержащийся в хлебе, картофеле, рисе и макаронах, состоит из глюкозы.

Иллюстрация к книге — Кодекс долголетия. Что заставляет нас стареть, зачем это нужно и как «обмануть» эволюцию: пошаговое руководство [i_041.jpg]

Крахмал состоит из тысяч молекул глюкозы, которые соединяются вместе и формируют длинные цепочки. (Примечание: в углах, где пересекаются линии, находится атом углерода (C), который в соответствии со стандартной научной нотацией не приводится на рисунке).

Глоссарий

Аденозинтрифосфат (АТФ). Молекула жизни, которая поддерживает все процессы в организме. Молекулы АТФ реагируют с белками, прикрепляясь к ним. Это заставляет белки менять свою структуру и выполнять некоторые специфические функции. Молекула АТФ, например, может прикрепляться к белку ионного канала в стенке клетки и открывать его, чтобы другие молекулы попали в клетку.

Аминокислота. Аминокислоты – строительный материал для белков. Аминокислота – это небольшая молекула, состоящая примерно из десяти атомов, которые имеют одну и ту же каркасную структуру, а также нескольких специфических атомов, определяющих тип аминокислоты. В организме есть двадцать типов аминокислот, которые, соединяясь между собой в цепочки, составляют белки. Один белок может состоять из десятков или даже тысяч аминокислот.

Антиоксидант. Вещество, которое вступает в реакцию со свободными радикалами и нейтрализует их. См. также Свободные радикалы.

Атеросклероз. Засорение артерий, в частности, артерий сердца и мозга. Когда артерия в сердце полностью перекрывается, часть сердца умирает из-за недостатка кислорода; в медицине это называется сердечным приступом. Полное перекрытие артерии в мозге называется инсультом.

Атом. Строительный материал для всех веществ. Атом состоит из ядра и электронов, обращающихся вокруг ядра. Ядро состоит из протонов и нейтронов. Количество протонов в ядре определяет название атома. В ядре атома водорода – один протон, в ядре железа – 26, в ядре урана – 92.

АТФ. См. Аденозинтрифосфат (АТФ).

База или Базовая молекула. Молекула гуанина (G), цитозина (C), аденина (A) или тимина (T). Каждая база состоит примерно из пятнадцати атомов углерода, азота, водорода и кислорода. Две базы вместе составляют одну ступеньку «лестницы» ДНК.

Бактерия. Одноклеточный организм, у которого нет ни ядра, ни митохондрий.

Белки. Огромные молекулы, часто состоящие из десятков тысяч аминокислот и, соответственно, из тысяч и даже десятков тысяч атомов. Белки бывают самых разных размеров и выполняют самые разные функции в организме. Прикрепляясь к клеточным стенкам (мембранам), они выполняют роль ионных каналов; в мышечных клетках они сокращаются, заставляя мышцы двигаться; в крови – переносят кислород или атакуют бактерии.

Болезнь Альцгеймера. См. Деменция.

Ген. Часть ДНК, которая служит кодом для сборки определенного белка. Человеческая ДНК содержит около 24 000 генов. См. также Белок, ДНК.

Гликемическая нагрузка. Показатель, который измеряет, как быстро сахар попадает в кровь, а также количество усвояемых углеводов, содержащихся в продукте. Это более точный показатель полезности пищи, хотя для многих продуктов хватает и гликемического индекса.

Гликемический индекс. Показатель, определяющий, как быстро сахар из пищи попадает в кровь и вызывает скачок сахара. Особенно высокий гликемический индекс у продуктов, которые состоят из множества простых сахаров или разогретых крахмалов, например, газированных напитков, картофеля и теста для пиццы: они быстро расщепляются в кишечнике, сахар быстро попадает в кровь и вызывает сильные скачки.

Вход
Поиск по сайту
Ищем:
Календарь