Книга Код креативности. Как искусственный интеллект учится писать, рисовать и думать, страница 61 – Маркус Дю Сотой

Авторы: А Б В Г Д Е Ж З И Й К Л М Н О П Р С Т У Ф Х Ч Ш Ы Э Ю Я
Книги: А Б В Г Д Е Ж З И Й К Л М Н О П Р С Т У Ф Х Ц Ч Ш Щ Ы Э Ю Я
Бесплатная онлайн библиотека LoveRead.ec

Онлайн книга «Код креативности. Как искусственный интеллект учится писать, рисовать и думать»

📃 Cтраница 61

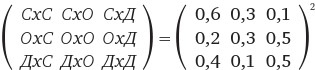
= 0,6 ×0,1 = 0,06

вероятность СОД = вероятность СО × вероятность ОД =

= 0,3 ×0,5 = 0,15

вероятность СДД = вероятность СД × вероятность ДД =

= 0,1 ×0,5 = 0,05

Значит, вероятность дождливого дня через два дня после солнечного, которую мы обозначим СxД, равна 0,06 + 0,15 + + 0,05 = 0,26, то есть 26 %.

Есть удобный способ вычисления вероятности того, что на второй день будет дождь. Для этого нужно умножить матрицу вероятностей саму на себя.

Иллюстрация к книге — Код креативности. Как искусственный интеллект учится писать, рисовать и думать [i_029.jpg]

Несмотря на такую зависимость погоды каждого дня от погоды дня предыдущего, в конечном итоге оказывается, что вероятность дождливой погоды стремится к одному и тому же уровню (около 32,35 %), с какого бы дня – солнечного, дождливого или облачного – мы ни начали. Чтобы убедиться в этом, можно возводить матрицу вероятностей во все более высокие степени: мы увидим, что элементы каждой строки стремятся к одним и тем же числам. Таким образом, долгосрочный метеорологический прогноз не зависит от сегодняшней погоды, хотя завтрашняя погода от нее и зависит.

Иллюстрация к книге — Код креативности. Как искусственный интеллект учится писать, рисовать и думать [i_030.jpg]

Каждая из строк этой матрицы дает вероятность солнечной, облачной или дождливой погоды через десять дней. Как мы видим, при этом не важно, какая погода стоит сегодня (то есть какую строку мы выбираем): вероятность для десятого дня остается той же. Так Марков разработал доказательство, неоспоримо продемонстрировавшее, что убеждение Некрасова, будто из долгосрочной криминальной статистики следует существование свободы воли, ошибочно.

Марков решил проиллюстрировать свою модель при помощи одного из самых любимых в России поэтических произведений, пушкинского «Евгения Онегина». Он не рассчитывал сделать какие-либо новые литературные открытия: он просто хотел использовать этот роман в стихах в качестве набора данных для анализа употребления гласных и согласных. Он взял первые 20 000 букв, то есть около одной восьмой романа, и подсчитал число гласных и согласных. Компьютер смог бы выполнить эту операцию в одно мгновение, но Марков честно сидел и подсчитывал буквы вручную. В конце концов он заключил, что гласные составляют 43 % всех букв, а согласные – 57 %. Следовательно, если взять случайную букву, можно предположить, что она с большей вероятностью окажется согласной. Маркова интересовал следующий вопрос: изменит ли эту вероятность знание предыдущей буквы? Другими словами, зависит ли вероятность того, что следующая буква окажется согласной, от того, была ли согласной предыдущая?

Проанализировав текст, Марков обнаружил, что в 34 % случаев за согласной следует еще одна согласная, а в 66 % – гласная. Знание предыдущей буквы изменило вероятности одного и другого исхода. В этом нет ничего неожиданного: как правило, в большинстве слов гласные и согласные встречаются поочередно. Вероятность того, что после гласной появится еще одна гласная, подсчитал он, составляет всего 13 %. Таким образом, «Евгений Онегин» оказался прекрасным примером цепи Маркова, которым он мог проиллюстрировать свои идеи.

Модели такого рода иногда называют моделями с амнезией: они забывают, что случилось в прошлом, и предсказывают будущее, исходя из настоящего. Иногда такую модель можно усовершенствовать, рассмотрев, как могут повлиять на следующее состояние два предыдущих. Знание двух предыдущих букв в поэзии Пушкина может помочь в угадывании следующей буквы. Но в какой-то момент такая зависимость исчезает.

Continuator – первый джазовый импровизатор с искусственным интеллектом

Паше решил заменить Пушкина на Паркера. Он решил взять риффы джазового музыканта и, исходя из очередной ноты, проанализировать вероятность того, какой будет следующая. Представим себе рифф, состоящий из восходящей и нисходящей гамм. Если сыграна определенная нота, следующая нота с равной вероятностью будет либо на ступень ниже, либо на ступень выше. Исходя из этого правила, алгоритм будет случайным образом перемещаться по гамме вверх и вниз. Чем больше риффов ему дать, тем больше у него будет данных для анализа и тем явственнее будет определенный стиль. Паше понял, что рассматривать одну предыдущую ноту недостаточно: чтобы определить, куда двигаться дальше, может понадобиться знание нескольких нот. Но, если мы не хотим, чтобы алгоритм просто воспроизводил тренировочные данные, не следует заходить назад слишком далеко.

Преимущество методики Паше состоит в том, что данные можно вводить в реальном времени. Можно просто играть риффы на рояле. Алгоритм будет анализировать игру и, как только музыкант прекратит играть, продолжит играть в том же стиле. Такое взаимодействие в форме вопросов и ответов часто встречается в джазе, так что алгоритм сможет играть вместе с живым музыкантом, с которым они будут передавать мелодию друг другу. Этот алгоритм получил название Continuator («Продолжатель»), так как он продолжает в том же стиле, в котором играет человек, вводящий в него тренировочные данные.

После каждой ноты Continuator вычисляет свое следующее действие, исходя из того, что он только что сыграл, и из вероятностей появления определенных нот, рассчитанных по тренировочным данным. Затем он бросает кости и принимает решение. В одной из версий этого алгоритма, которую Паше назвал «режимом сотрудничества» (в отличие от режима «вопросов и ответов»), человек играет мелодию, а Continuator определяет при помощи своего аппарата вычисления вероятностей, какой аккорд следует сыграть – что очень похоже на то, что делает человек-аккомпаниатор.

Каково было мнение джазменов, игравших с этим алгоритмом? Музыкант Бернар Люба, играющий в стиле современного джаза, испытав Continuator, признал, что тот произвел на него сильное впечатление: «Эта система показывает мне идеи, которые мог бы разработать и я сам, но на их разработку у меня ушли бы годы. Она опережает меня на годы, но все, что она играет, несомненно, в моем стиле». Continuator освоил присущий Люба мир звуков, но не ограничился воспроизведением того, что музыкант играл раньше, а взялся за исследование новых территорий. То есть алгоритм демонстрировал способность к исследовательскому творчеству. Кроме того, он побуждал художника, на работе которого он обучался, к дальнейшему творческому развитию, показывая ему те аспекты его занятия, которых тот ранее не использовал.

На мой взгляд, это свидетельствует о прохождении теста Лавлейс. Это музыкальный аналог 37-го хода во второй партии матча AlphaGo против Ли Седоля. Алгоритм производит нечто неожиданное как для программиста этого алгоритма, так и для музыканта, на работах которого он обучался. И речь идет не только о новизне и неожиданности. Алгоритм помог Люба мыслить более творчески. Результат его работы оказался необычайно ценным, так как он изменил подход Люба к музыке.

Вход
Поиск по сайту
Ищем:
Календарь