Книга Код креативности. Как искусственный интеллект учится писать, рисовать и думать, страница 45 – Маркус Дю Сотой

Авторы: А Б В Г Д Е Ж З И Й К Л М Н О П Р С Т У Ф Х Ч Ш Ы Э Ю Я
Книги: А Б В Г Д Е Ж З И Й К Л М Н О П Р С Т У Ф Х Ц Ч Ш Щ Ы Э Ю Я
Бесплатная онлайн библиотека LoveRead.ec

Онлайн книга «Код креативности. Как искусственный интеллект учится писать, рисовать и думать»

📃 Cтраница 45

В дошедших до нас клинописных табличках древнего Вавилона мы находим первые примеры математического анализа связей этих чисел с окружающим нас миром. Чуть позже, в связи с ростом городов-государств в бассейне Евфрата, появились и более замысловатые математические методы. Строительство, налогообложение, торговля требовали математических инструментов. Например, из этих табличек видно, что чиновники учитывали число рабочих и число дней, необходимых для прокладки канала, чтобы рассчитать суммарные расходы на жалованье рабочим. На этом этапе математика еще не была ни особенно сложной, ни особенно интересной, но явно уже появились некоторые писцы, размышлявшие о том, что еще можно сделать с этими числами.

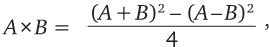
Сначала они выдумывали хитрые приемы, помогавшие им выполнять расчеты. Мы находим таблички, на которых выписаны все квадратные числа. Эти таблички помогали перемножать крупные числа, потому что кто-то заметил интересную связь между умножением чисел и сложением их квадратов. Заинтересовавшись алгебраическим соотношением писец понял, что такие таблицы квадратов можно использовать для вычисления произведений A ×B. Сначала нужно сложить A и B и найти квадрат их суммы, затем вычесть из него квадрат разности A – B и разделить результат на 4. Поразительнее всего то, что перед нами очень ранний пример применения алгоритма. Этот метод сводит задачу перемножения чисел A и B к более простой работе – сложению и вычитанию этих чисел с последующим поиском квадратов в табличке, которая содержит базу данных полных квадратов. Он работает для любых A и B при условии, что получающиеся квадраты не выходят за пределы тех, которые уже были вычислены и занесены в табличку.

Иллюстрация к книге — Код креативности. Как искусственный интеллект учится писать, рисовать и думать [i_024.jpg]

Хотя вавилоняне использовали алгебраические методы работы с числами, у них совершенно не было языка, позволяющего выразить то, что они делали. То уравнение, которое я записал выше, стало возможным только тысячи лет спустя, когда в IX веке арабские и персидские ученые, работавшие в Доме мудрости на территории нынешнего Ирака, разработали язык алгебры. Древние вавилоняне совершенно не считали нужным записывать, почему тот или иной метод или алгоритм всегда дает правильный ответ. Метод работал, и им этого хватало. Стремление объяснить, почему он всегда работает, появилось позже. Именно поэтому, хотя первые алгоритмы возникли в древнем Вавилоне, слово «алгоритм» происходит от имени Аль-Хорезми, главного библиотекаря и астронома Дома мудрости, который стал основателем алгебры как математической дисциплины.

Такие математические отношения между числами тоже связаны с практической пользой. Они ускоряют вычисления. Они дают преимущество торговцу или строителю, который замечает эти связи. Но мы начинаем замечать появление задач и решений, которые на первый взгляд кажутся вполне практическими, но при ближайшем рассмотрении оказываются скорее интересными головоломками, которыми писец может привести в замешательство своих коллег, нежели средствами, которые могут оказаться полезными, скажем, крестьянину. Например, следующая задача выглядит вполне утилитарной:

У крестьянина есть поле, площадь которого составляет 60 квадратных единиц. Одна сторона поля на 7 единиц длиннее другой. Какова длина самой короткой стороны поля?

Но вот в чем загвоздка. Откуда нам известна площадь поля, если мы не знаем длин его сторон? Мне кажется, что эта задача гораздо больше похожа на сложный вопрос из кроссворда. Я задумал слово, но дам вам только запутанное описание этого слова. Вам нужно распутать это описание, чтобы найти слово, которое я задумал. В задаче о крестьянине, которую предлагает писец, неизвестную длину поля можно обозначить буквой х. Тогда длина более длинной стороны поля будет равна х + 7. Площадь поля есть произведение длин его сторон и, как мы знаем, равна 60. Следовательно, мы получаем уравнение:


х ×(х + 7) = 60


или:


х2 + 7х – 60 = 0.


Некоторым из читателей оно покажется до ужаса знакомым, потому что это пример именно тех квадратных уравнений, учиться решать которые заставляют школьников. Вину за это вы можете возложить на вавилонского писца, но его же следует поблагодарить за решение этого таинственного уравнения, позволяющее найти значения х.

Но мне это кажется важным поворотным моментом в той сфере, которой я занимаюсь. Зачем кому-то понадобилось придумывать эту задачу? Почему кто-то решил, что ему нужно придумать хитроумный способ ее решения и найти ответ? Зачем мы по-прежнему преподаем это школьникам? Не то чтобы это знание было абсолютно необходимым: такого рода задачи почти не встречаются в повседневной жизни. Можно представить себе, что крестьянин когда-то вычислил и записал площадь поля, но забыл записать длины его сторон, – но тогда откуда он знает, что длинная сторона на 7 единиц длиннее, не зная при этом длины короткой стороны? Все эти допущения настолько замысловаты, что трудно вообразить, чтобы эта задача когда-нибудь могла быть по-настоящему практической. Нет… тут речь идет о занятиях математикой исключительно развлечения ради!

Речь идет о разуме, который наслаждается моментом открытия и получает удовольствие от распутывания проблемы на пути к ее решению. Как мы знаем, осознание того, что метод работает, какие числа в него ни подставь, должно было сопровождаться выбросом дофамина или адреналина. Так математика приводится в действие химией и биологией. Способен ли компьютер заниматься математикой просто удовольствия ради, раз в нем нет ни биологической, ни химической составляющей?

Правда, можно сказать, что человек, способный заниматься такого рода математической работой, получает эволюционное преимущество. Собственно говоря, это лучший из имеющихся у нас ответов на вопрос, зачем мы по-прежнему заставляем школьников учиться решать квадратные уравнения. Ум, способный применять такого рода алгоритм, способный пройти логические этапы, необходимые для получения ответа, легко обращающийся с абстрактными, аналитическими рассуждениями, – это ум, хорошо подготовленный к решению задач реальной жизни.

Возможно, химический аспект удовлетворения, которое мы испытываем, решив математическую головоломку, и будет главным отличием творчества человеческого от творчества машинного. Мозг очень похож строением на компьютер. Возможно, мозг можно имитировать, создав абстрактную сеть цифровых нейронов, каждый из которых включается и выключается во взаимосвязи с другими, соединенными с ним нейронами. Но, если в этой конструкции не будет ни химии, ни биологии, значит ли это, что мы не сможем дать машине того восторга озарения, которого искал вавилонский писец? Будет ли у этой машины отсутствовать стимул, побуждение к творческому мышлению?

Вавилонская математика сосредоточивалась на конкретных арифметических задачах. Открытые методы применялись для решения этих конкретных задач, но почему эти методы неизменно работают, не объяснялось. Этого пришлось ждать несколько тысячелетий, пока в математике не начала развиваться идея доказательства.

Вход
Поиск по сайту
Ищем:
Календарь