Онлайн книга «Код креативности. Как искусственный интеллект учится писать, рисовать и думать»
|
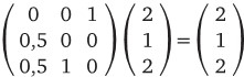
Не то чтобы не существовало других алгоритмов, которые использовались с той же целью, но их концепции были весьма примитивны. Например, для человека, желающего найти дополнительную информацию по теме «вежливая бабушка и Google», существовавшие алгоритмы отыскали бы все страницы, содержащие эти слова, и расположили их в определенном порядке: те сайты, на которых термины запроса встречаются наибольшее количество раз, попали бы в верхнюю часть списка. Такой метод вполне работоспособен, но его очень легко обмануть: любой хозяин цветочного магазина может тысячу раз вписать в метаданные своего сайта выражение «Цветы к Дню матери» и моментально окажется на первом месте в результатах поиска всех любящих сыновей и дочерей. Нужна поисковая система, которой хитрым веб-дизайнерам было бы не так просто помыкать. Как же можно получить неискаженную меру важности веб-сайта? И как выяснить, на какие сайты можно не обращать внимания? У Пейджа и Брина возникла следующая светлая мысль: если на некий веб-сайт ведет много ссылок, значит, те сайты, с которых они ведут, сигнализируют, что его стоит посетить. То есть можно демократизировать меру ценности веб-сайта, позволив другим веб-сайтам голосовать за те сайты, которые они считают важными. Однако и этот алгоритм можно было обмануть. Нужно было всего лишь создать тысячу искусственных сайтов со ссылками на сайт цветочного магазина, и он снова оказывался вверху списка выдачи. Чтобы предотвратить такое положение дел, разработчики алгоритма решили придавать больший вес голосам сайтов, которые сами пользуются уважением. Но и тогда один вопрос по-прежнему оставался без ответа: как ранжировать сайты по относительной важности? Рассмотрим, например, миниатюрную сеть, изображенную на схеме: ![]() Сначала присвоим всем сайтам равные веса. Представим себе, что каждый веб-сайт – это корзина; положим в каждую корзину по восемь шаров, что означает, что все они имеют одинаковый ранг. После этого веб-сайты должны отдать свои шары тем сайтам, на которые они ссылаются. Если они содержат ссылки не на один, а на несколько сайтов, то они отдают каждому из них равное число шаров. Поскольку веб-сайт А содержит ссылки на оба сайта – В и С, он отдает каждому из них по 4 шара. Однако на сайте В есть ссылка только на сайт С, и все его восемь шаров переходят в корзину веб-сайта С (см. следующую схему). После первого перераспределения веб-сайт С кажется очень сильным. Но эту процедуру нужно повторять, потому что веб-сайт А усилится благодаря ссылке на него, которая имеется на сайте С, получившем теперь высокий рейтинг. В следующей таблице показаны изменения количества шаров в итерациях этого процесса. ![]() Пока что этот алгоритм не выглядит особенно удачным. По-видимому, он не стабилизируется и работает довольно неэффективно, что нарушает два из наших четырех условий идеального алгоритма. Великая идея Пейджа и Брина заключалась в том, что они поняли: принцип распределения шаров нужно определить исходя из связности сети. Так совпало, что в университетском курсе математики их научили одному хитрому приему, который позволял получать правильное распределение всего за один шаг. ![]() Для его применения прежде всего нужно построить матрицу, отражающую перераспределение шаров между веб-сайтами. В первом столбце матрицы записывается доля шаров, передаваемых от веб-сайта А другим сайтам. В данном случае 0,5 общего числа шаров переходит сайту В, а еще 0,5 – вебсайту С. Тогда матрица перераспределения выглядит следующим образом: ![]() Задача состоит в нахождении собственного вектора этой матрицы с собственным значением, равным 1. Это вектор-столбец, который не изменяется при умножении на саму матрицу [24]. Нахождению таких собственных векторов, или точек устойчивости, мы учим своих студентов в начале их университетского курса. В случае нашей сети оказывается, что матрицу перераспределения стабилизирует следующий вектор-столбец: ![]() Это означает, что если мы разделим шары в пропорции 2:1:2, то полученное распределение весов будет стабильным. При раздаче шаров по тем правилам, которые мы использовали до этого, получается то же распределение по сайтам – 2:1:2. Собственные векторы матриц – невероятно могущественный инструмент математики и точных наук вообще. Именно они позволяют определить энергетические уровни частиц в квантовой физике. Они могут рассказать об устойчивости вращающейся текучей среды – например, вращающейся звезды – или о скорости размножения вируса. Возможно, они даже послужат ключом к пониманию распределения простых чисел среди чисел вообще. ![]() Рассчитав собственный вектор связности сети, мы видим, что веб-сайтам А и С должен быть присвоен один и тот же ранг. Хотя ссылка на сайт А имеется только на одном сайте (С), тот факт, что веб-сайт С высоко ценится и содержит ссылку только на сайт А, означает, что эта ссылка придает сайту А высокую ценность. Таков основной принцип алгоритма. В нем есть еще несколько дополнительных тонкостей, которые потребовалось ввести, чтобы алгоритм заработал в полную силу. Например, он должен учитывать аномалии – например, веб-сайты, не содержащие никаких ссылок на другие сайты и становящиеся поэтому тупиковыми складами перераспределяемых шаров. Но в основе алгоритма лежит именно эта простая идея. Информация об основном устройстве поисковой системы общедоступна, но внутри алгоритма есть параметры, которые держатся в тайне и изменяются со временем, что несколько затрудняет взлом алгоритма. Но замечательнее всего устойчивость алгоритма Google и его неуязвимость к попыткам его обмануть. Веб-сайту очень трудно сделать у себя что-либо, что повысило бы его рейтинг. Его положение могут усилить только другие сайты. Если вы посмотрите на веб-сайты, которым алгоритм ранжирования страниц Google присваивает высокий рейтинг, вы увидите среди них сайты многих крупных новостных агентств и университетов, например Оксфорда и Гарварда. Это связано с тем, что многие сторонние сайты размещают ссылки на данные и мнения, опубликованные на сайтах университетов, потому что многие люди по всему миру высоко оценивают исследования, которыми мы занимаемся. |
![Иллюстрация к книге — Код креативности. Как искусственный интеллект учится писать, рисовать и думать [i_003.jpg] Иллюстрация к книге — Код креативности. Как искусственный интеллект учится писать, рисовать и думать [i_003.jpg]](img/book_covers/101/101792/i_003.jpg)
![Иллюстрация к книге — Код креативности. Как искусственный интеллект учится писать, рисовать и думать [i_004.jpg] Иллюстрация к книге — Код креативности. Как искусственный интеллект учится писать, рисовать и думать [i_004.jpg]](img/book_covers/101/101792/i_004.jpg)
![Иллюстрация к книге — Код креативности. Как искусственный интеллект учится писать, рисовать и думать [i_005.jpg] Иллюстрация к книге — Код креативности. Как искусственный интеллект учится писать, рисовать и думать [i_005.jpg]](img/book_covers/101/101792/i_005.jpg)
![Иллюстрация к книге — Код креативности. Как искусственный интеллект учится писать, рисовать и думать [i_006.jpg] Иллюстрация к книге — Код креативности. Как искусственный интеллект учится писать, рисовать и думать [i_006.jpg]](img/book_covers/101/101792/i_006.jpg)
![Иллюстрация к книге — Код креативности. Как искусственный интеллект учится писать, рисовать и думать [i_007.jpg] Иллюстрация к книге — Код креативности. Как искусственный интеллект учится писать, рисовать и думать [i_007.jpg]](img/book_covers/101/101792/i_007.jpg)
![Иллюстрация к книге — Код креативности. Как искусственный интеллект учится писать, рисовать и думать [i_008.jpg] Иллюстрация к книге — Код креативности. Как искусственный интеллект учится писать, рисовать и думать [i_008.jpg]](img/book_covers/101/101792/i_008.jpg)