Книга Химия навсегда. О гороховом супе, опасности утреннего кофе и пробе мистера Марша, страница 34 – Ларс Орстрём

Авторы: А Б В Г Д Е Ж З И Й К Л М Н О П Р С Т У Ф Х Ч Ш Ы Э Ю Я
Книги: А Б В Г Д Е Ж З И Й К Л М Н О П Р С Т У Ф Х Ц Ч Ш Щ Ы Э Ю Я
Бесплатная онлайн библиотека LoveRead.ec

Онлайн книга «Химия навсегда. О гороховом супе, опасности утреннего кофе и пробе мистера Марша»

📃 Cтраница 34

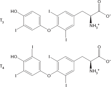
Он смело выдвинул теорию о важности йода для того, чтобы избежать развития зоба и кретинизма, но без особого результата. Шатену пришлось ждать 1896 года: за пять лет до его смерти немецкий химик Ойген Бауман смог наконец доказать, что щитовидная железа, расположенная в нижней части шеи и резко увеличивающаяся в размерах у страдающих от зоба людей, содержит йод. Это открыло возможности для масштабного лечения и профилактики заболевания, особенно когда были раскрыты молекулярные формулы секретов щитовидной железы: два вещества, известные как Т3 и Т4 – трийодтиронин и тирозин, где к в целом органическим структурам присоединены три и четыре атома йода соответственно.

Это и в самом деле весьма странные молекулы, которые можно рассмотреть получше, если отойти от формального схематичного изображения, показанного на рисунке 27, и вместо этого попытаться представить себе размер молекулы и содержащихся в ней атомов. По мере того как мы добавляем протоны и нейтроны к атомным ядрам и продвигаемся от более легких элементов с низким зарядовым числом к более тяжелым, ядра, разумеется, увеличиваются в размере, но лишь в небольшой степени, так как большая часть пространства в атоме занята летающими электронами. С увеличением количества протонов растет и заряд ядра – соответственно, и сила, притягивающая к ядру электроны. Это означает, что атомы имеют склонность уменьшаться по мере увеличения зарядового числа. С другой стороны, должно расти и число электронов, и, когда эти отрицательно заряженные элементарные частицы приближаются к ядру, они начинают отталкивать друг друга, из-за чего атом кажется больше.

Иллюстрация к книге — Химия навсегда. О гороховом супе, опасности утреннего кофе и пробе мистера Марша [i_027.jpg]

Рисунок 27. Гормоны щитовидной железы трийодтиронин и тироксин, известные также как Т3 и Т4 из-за количества атомов йода, прикрепленных к их органическому скелету. Изображенная жирной линией связь с группой NH3+ означает, что эта связь выходит из плоскости и направлена в вашу сторону.


Которая из сил одержит верх? Это легко рассчитать, взглянув на Периодическую таблицу: если двигаться по периодам (строкам) слева направо, побеждает сила притяжения, и атомы становятся немного меньше; если двигаться по группам (столбцам) сверху вниз, побеждает сила отталкивания, поскольку после достижения конфигурации каждого из благородных газов (элементы в крайнем правом столбце) электроны добавляются на орбитали, или оболочки за пределами плотной внутренней электронной оболочки в атоме, соответствующей конфигурации благородного газа, и не особенно ощущают влияние дополнительного заряда ядра.

Химия не была бы химией, если бы не существовало исключений для этого правила; однако их мы рассмотрим в другой главе. Достаточно понять, что, спустившись по галогеновой лестнице от фтора (F) к хлору (Cl) и брому (Br), мы добираемся до атома йода, который совершенно не похож своими размерами на атом углерода. Взгляните на изображение, показанное на рисунке 28, и вы увидите, насколько сильно на нем преобладают атомы йода, которые на палочковой схеме совершенно идентичны остальным атомам.

Но дело не только в размере. Йодид-заместители (их так называют потому, что мы рассматриваем их как атомы, заменившие собой атом водорода в шестиугольном углеродном цикле С6) на самом деле не обладают красивой округлой формой, а их электроны не движутся равномерно вокруг ядра; система больше напоминает фаршированные оливки, где связь углерод-йод вставлена прямо в красноватую начинку. Оливково-зеленая поверхность притянула избыточные электроны и имеет отрицательный заряд, а область начинки лишилась электронов, и там проглядывает положительно заряженное ядро, придавая этой части положительный заряд.

Иллюстрация к книге — Химия навсегда. О гороховом супе, опасности утреннего кофе и пробе мистера Марша [i_028.jpg]

Рисунок 28. Здесь мы попытались изобразить истинный размер атомов в Т4 – гормоне щитовидной железы тироксине, – нарисовав их в виде сфер разного размера. Обратите внимание на то, как доминируют на этом изображении крупные темные атомы йода, хотя они составляют менее 9 % от общего числа атомов в этой молекуле (все остальные атомы показаны светло-серым цветом).


Это означает, что атом – обычно это атом кислорода, – в котором есть пара электронов, очень заметно торчащая наружу (так обычно и происходит в аминокислотах, образующих наши белки), может зацепить молекулы Т3 и Т4, направив эту электронную палку на красную положительно заряженную начинку и образовав слабую химическую связь. Именно так гормоны щитовидной железы выполняют свою важную задачу в организме: они передают сигналы, которые не только регулируют рост, развитие нервной и половой системы, но также контролируют химические пути расщепления пищи, извлечения энергии и производства тепла.

Разумеется, правильно работающая щитовидная железа крайне важна для нашего здоровья, и существуют самые разные связанные с ней заболевания и симптомы. Однако давайте на некоторое время остановимся на том, что в начале ХХ века верно определили скорее как нехватку микроэлемента, нежели как болезнь, – на зобе и кретинизме.

В Швейцарии с 1922 года обогащают йодом всю соль, предназначенную для употребления в пищу, но правительства других стран вели себя осторожнее. Французская академия наук предупреждала об опасности передозировки йода еще в 60-х годах XIX века, и пищевая соль с добавлением йодида калия (KI) была разрешена во Франции лишь в 1952 году. Тем не менее проблемы со здоровьем у жителей альпийских департаментов словно исчезли сами собой, поскольку невидимая рука рынка распространяла йод в виде импортных товаров из регионов, в которых качество почвы было выше и, что немаловажно, в которых заготавливали рыбу и морепродукты, как правило богатые йодом.

Сейчас мы без труда добираемся до деревень и бывших горных пастбищ в Альпах и поэтому легко забываем, что даже в XIX веке вблизи таких старинных и крупных городских центров, как Гренобль, существовали населенные районы, до которых можно было добраться только на ослах по узким тропинкам, преодолев труднодоступные горные перевалы, да и то лишь летом, в то время как вся остальная страна быстро покрывалась сетью железных дорог. Гражданские инженерные проекты, которые способствовали улучшению санитарных условий в больших городах через отвод сточных вод и отходов в современные подземные тоннели, также способствовали притоку йода в отдаленные горные деревушки по дорогам, проложенным через скалы при помощи новых и относительно безопасных взрывчатых веществ.

Почему же этот драгоценный ресурс так неравномерно распределен по планете? Дожди и постоянные паводки в Альпах постепенно вымывали из почвы йод, поскольку простые соли натрия и калия (NaI и KI) легко растворяются в воде. То же самое может происходить в прибрежных регионах с большим количеством осадков, таких как Бангладеш, но в целом хуже всего дело обстоит в горных регионах по всему миру.

Вход
Поиск по сайту
Ищем:
Календарь