Онлайн книга «Яды: вокруг и внутри. Путеводитель по самым опасным веществам на планете»
|
Звучит это всё страшно. Но, к счастью, люизит не применялся в ходе военных действий. Все данные об этом веществе взяты из лабораторных протоколов. В 1992 году Генеральная ассамблея ООН приняла Конвенцию о запрете химического оружия, в том числе и люизита. Зарин, табун, VX и «Новичок»
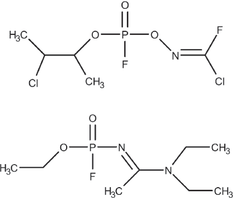
Первые боевые отравляющие вещества изначально создавались с благими целями. Например, как пестициды – средства для защиты растений. Но использовались они зачастую совсем не по назначению. В 1930-х годах в попытке создать более мощные пестициды немецкие учёные получили группу фосфорсодержащих веществ. Это были зарин, табун, зоман и циклозарин. Их назвали G-группой (G – German). Они так и не стали помощниками в сельском хозяйстве. Вместо этого стали первыми боевыми веществами нервно-паралитического действия и заложили основу целого класса БОВ. После них появились вещества VX и те самые «новички». Хотя G-группа была сразу передана на вооружение Третьего рейха, эти вещества не использовались во время Второй мировой войны. Опыт прошлых лет показал недостаточную универсальность и сложность применения БОВ. Все вещества G-группы содержат фосфор в составе. В чистом виде и зарин, и табун – ядовитые жидкости, но они легко испаряются и переходят в ещё более ядовитый газ. В газообразном состоянии вещества действуют на организм быстрее, но способны убить и при попадании жидкости на кожу. Так выглядит зарин (слева) и табун (справа). ![]() Смертельные количества зарина: при вдыхании в течение нескольких минут – 0,09 мг/м3, при попадании на кожу – 28 мг/кг веса человека; Они же для табуна: при вдыхании в течение одной-двух минут – 0,4 мг/м3, при попадании на кожу – 14 мг/кг веса человека. Зарин, табун и другие представители G-группы меняют передачу нервных импульсов. Мы уже говорили об ацетилхолине, который передаёт сигналы от нервных окончаний к мышцам. Когда ацетилхолин находится между окончанием нервного волокна и возбуждаемой клеткой, сигнал идёт. Потом, когда сигнал должен прекратиться, ацетилхолин не нужен, и он разрушается специальным ферментом – ацетилхолинэстеразой. В этот момент сигнал пропадает. Так вот, зарин и табун (и другие БОВ той же группы) замедляют действия фермента ацетилхолинэстеразы, ацетилхолин не разрушается. Он так и продолжает передавать сигналы мышцам. Внешне это выражается как судороги, сужение зрачков (из-за этого падает зрение), перевозбуждение, слюнотечение, нарушение работы сердца и даже паралич. Летальность этих веществ высока и наступает из-за остановки дыхания. И не через несколько часов, как в случае хлора или иприта, а сразу. Но человека можно спасти, если немедленно начать лечение. К счастью, существует доступный антидот, раннее введение которого может спасти отравленному жизнь, – атропин. ![]() В 1995 году в токийском метро произошёл теракт. В час пик террористы выпустили зарин в метро. Погибло более 10 человек, ранено 50. Во время ирано-иракской войны в 1980-х активно применялись БОВ нервно-паралитического действия. В 1988 году в Иракском Курдистане произошла химическая атака. Этот день назвали Кровавой пятницей. В результате химической атаки погибло от 3 до 5 тыс. человек. Медицинское расследование показало, что использовалась смесь иприта с одним из веществ нервно-паралитического действия. Вероятно, это был табун, зарин или газ VX. Кстати о нём. Газ VX на самом деле – маслянистая жидкость. Называть его газом не вполне корректно. VX может выделять пары, но не настолько активно, как зарин. Поэтому его можно использовать как аэрозоль или разбрызгивать. Он более стоек в окружающей среде и способен сохраняться в течение нескольких недель, а зимой – нескольких месяцев. VX – лишь один из представителей группы нервно-паралитических веществ. Их называют V-группой. Эти вещества были созданы уже 1950-х годах и с самого начала позиционировались как отравляющие вещества. Их действие основано на том же принципе, что и действие табуна или зарина. V-соединения связываются с ферментом ацетилхолинэстеразой ещё прочнее, а значит, лечить отравления ими труднее. VX тоже содержит в себе атом фосфора. ![]() VX может проникать в организм при вдыхании аэрозоля, через кожу или слизистые. В США даже провели добровольный эксперимент на людях для изучения летальной дозы при внутривенном попадании вещества. Но эксперимент пришлось сразу прекратить, так как испытуемым мгновенно становилось плохо. В 2017 году с помощь платка, пропитанного VX, был убит Ким Чон Нам – брат главы Северной Кореи. Девушки, совершившие убийство, просто накинули платок на его лицо. Этого было достаточно, чтобы яд подействовал. G-серию веществ разрабатывали в Германии, V – сразу в нескольких странах, а в России были свои БОВ нервно-паралитического действия, объединённые кодовым названием «Новичок». [26] Они разрабатывались с 1970-х как альтернатива имеющимся в других странах БОВ. В целом вещества группы «Новичок» объединяет содержание фтора и фосфора в молекуле. Например, выше – примерные формулы «Новичка» А-234. Да, они разные. Информация по «новичкам» не была полностью рассекречена. Поэтому существует несколько вариантов формул вещества. ![]() Если верить разработчикам «Новичка», эти вещества очень стойкие и могут годами оставаться в окружающей среде. Воздействуют на организм по тому же принципу, что и зарин. «Новичок» сейчас у всех на слуху из-за серии отравлений, в которых он использовался. Самое громкое – отравление Скрипалей. Бывший офицер ГРУ Сергей Скрипаль и его дочь Юлия были отравлены «Новичком» А-234 в 2018 году. Через несколько месяцев после отравления с теми же симптомами были госпитализированы двое человек, предположительно контактировавшие с отравленными вещами. Один из пострадавших скончался. |
![Иллюстрация к книге — Яды: вокруг и внутри. Путеводитель по самым опасным веществам на планете [i_109.jpg] Иллюстрация к книге — Яды: вокруг и внутри. Путеводитель по самым опасным веществам на планете [i_109.jpg]](img/book_covers/101/101358/i_109.jpg)
![Иллюстрация к книге — Яды: вокруг и внутри. Путеводитель по самым опасным веществам на планете [i_110.jpg] Иллюстрация к книге — Яды: вокруг и внутри. Путеводитель по самым опасным веществам на планете [i_110.jpg]](img/book_covers/101/101358/i_110.jpg)
![Иллюстрация к книге — Яды: вокруг и внутри. Путеводитель по самым опасным веществам на планете [i_111.jpg] Иллюстрация к книге — Яды: вокруг и внутри. Путеводитель по самым опасным веществам на планете [i_111.jpg]](img/book_covers/101/101358/i_111.jpg)
![Иллюстрация к книге — Яды: вокруг и внутри. Путеводитель по самым опасным веществам на планете [i_112.jpg] Иллюстрация к книге — Яды: вокруг и внутри. Путеводитель по самым опасным веществам на планете [i_112.jpg]](img/book_covers/101/101358/i_112.jpg)