Онлайн книга «Интернет-журналистика. Как писать хорошие тексты, привлекать аудиторию и зарабатывать на этом»
![]() ![]() Различайте выражения «на» и «от», когда речь заходит о процентах. Проверьте себя. Допустим, производитель смартфонов делает два заявления: • скорость процессора нового поколения на 150 % выше, чем у старого; • скорость процессора нового поколения составляет 150 % от старого. Вы должны легко видеть, что в первом случае процессор быстрее в 2,5 раза, а во втором – лишь в полтора. Никогда не используйте конструкции вида «до 25 % выгоднее/дешевле/дороже». Во-первых, они чудовищны и были придуманы косноязычными маркетологами, не чувствующими нарушения в управлении. Во-вторых, такие фразы ничего не значат. «Выгода» в них размазана на интервале от 0 до 25 процентов, что делает ваш текст таким же размазанным и неконкретным. 7.1.1.2 Задачи на проценты
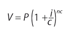
В некоторых случаях расчеты процентов контринтуитивны. Например, далеко не сразу авторы текстов решают в уме такую задачу: За год компания выручила 50 миллионов рублей. Это на 20 процентов меньше показателя годом ранее. Сколько она выручила в прошлом году и какова разница в рублях? Многие начинают высчитывать 20 % от 50 миллионов, хотя в данном случае это бесполезно. Ведь 50 миллионов – это 80 % от показателя прошлого года. Таким образом, в прошлом году она выручила 62,5 миллиона, а разница составит 12,5 миллиона рублей. Другой пример – сложные проценты. Журналисту иногда приходится перепроверять банковские расчеты, чтобы, скажем, понять, какова ипотечная нагрузка на заёмщиков, о которых он пишет. Сложные проценты – это проценты, начисляющиеся поверх уже начисленных. Обычно используют термин «капитализация процентов». В 1927 году в журнале Amazing Stories вышел прекрасный фантастический рассказ Гарри Килера «Доллар Джона Джонса» [60], хорошо демонстрирующий природу сложных процентов. В рассказе Джон Джонс заходит в банк в 1921 году и открывает счет на имя своего сорокового потомка. Сам вклад капитализируется по ставке 3 процента годовых. То есть в следующем году на счете лежит 1 доллар и 3 цента. Теперь в следующий год 3 процента начислят уже на эту сумму. Если бы проценты были простые, то через 10 лет на счете лежало, как легко видеть, 1,3 доллара. Но в 1931 году там 1,34 доллара. Через сто лет вместо 13 долларов уже 19 с небольшим и так далее. Через 700 лет размер вклада Джона Джонса превысил 900 миллионов долларов. Через тысячу он превысил стоимость всей Солнечной системы (независимым оценщиком здесь выступил автор рассказа, который не учел инфляцию). И если о сложных процентах по вкладу люди часто наслышаны, гораздо реже они осознают, что на кредиты так же могут начисляться сложные проценты. Именно поэтому кажущаяся низкой процентная ставка способна оставить невнимательного заёмщика без штанов или сформировать неправильное понимание ситуации у журналиста. Пусть у вас под рукой будет формула расчета сложных процентов: ![]() Здесь V – стоимость, P – сумма инвестиции или кредита, i – процентная ставка, n – число лет, а c – количество капитализаций в году (если проценты начисляются ежегодно – 1, если ежеквартально – 4, ежемесячно – 12 и т. д.). Допустим, что вы хотите купить квартиру за миллион рублей и взяли ипотеку на 20 лет под 7 % годовых. Если это простые проценты, то за 20 лет вы заплатите изначальный миллион плюс 140 % от него, то есть всего 2,4 миллиона рублей. Но что, если бы эта сумма накапливалась с учетом сложных процентов? Тогда вам пришлось бы заплатить почти четыре миллиона рублей. Конечно, этот пример не учитывает, что вы потихоньку выплачиваете долг, а также можете погасить его преждевременно. Он призван продемонстрировать, сколь разное содержание может быть у фразы «ипотека под 7 %». Изредка вы будете сталкиваться с отрицательными процентами. Например, в Дании банки приплачивали ипотечным заемщикам[18], а Центробанк Дании устанавливал отрицательные процентные ставки. Это сложное экономическое явление, которое не только интересует экономистов, но и ошеломляет вкладчиков, ведь теперь они получат меньше денег по вкладу, чем принесли. Подобные вещи – прекрасный повод написать развлекательную статью, но справиться с этим могут только люди, хорошо понимающие сущность процентов и понятия «стоимость денег». 7.1.1.3 Промилле
Проценты не всегда удобны. Вместо них иногда используют промилле – тысячные доли. Обозначается промилле так: %о. Массовый читатель знает, что промилле – что-то очень маленькое, в чем измеряют содержание алкоголя в крови. В основном промилле встречается в новостях о ДТП и текстах, связанных с экологией или химическим производством. Думайте о промилле не как о тысячной доле, а как об одной десятой процента. Например, если источник сообщает, что в первом квартале 2017 года ВВП России вырос на 0,5 %, абсолютно корректно можно сказать, что он вырос на 5 промилле. Другое дело, что так обычно не поступают. 7.1.2 Процентные пункты
Возьмем другой пример. Скажем, у моей компании на балансе стояло 10 пирожков, а стало 11. В квартальном отчете моя компания может заявить, что число пирожков выросло на 10 %. Однако большинство новичков путается, когда я спрашиваю, на сколько процентов выросло содержание сахара, если раньше его в пирожке было 10 процентов, а теперь 11? Самый частый ответ – на 1 %. Правильный же, конечно, 10 % – ведь и количество пирожков выросло на одну десятую, а не сотую часть от прошлого количества. Но, как мы понимаем, бывают ситуации, когда надо прописать именно эту единицу. Например, если раньше ключевая ставка Центробанка составляла 7,5 %, а теперь – 7, то мы не хотим высчитывать проценты. Нам следует написать следующее: Центробанк снизил ключевую ставку на 0,5 процентных пункта |
![Иллюстрация к книге — Интернет-журналистика. Как писать хорошие тексты, привлекать аудиторию и зарабатывать на этом [i_001.jpg] Иллюстрация к книге — Интернет-журналистика. Как писать хорошие тексты, привлекать аудиторию и зарабатывать на этом [i_001.jpg]](img/book_covers/100/100924/i_001.jpg)
![Иллюстрация к книге — Интернет-журналистика. Как писать хорошие тексты, привлекать аудиторию и зарабатывать на этом [i_002.jpg] Иллюстрация к книге — Интернет-журналистика. Как писать хорошие тексты, привлекать аудиторию и зарабатывать на этом [i_002.jpg]](img/book_covers/100/100924/i_002.jpg)
![Иллюстрация к книге — Интернет-журналистика. Как писать хорошие тексты, привлекать аудиторию и зарабатывать на этом [i_003.jpg] Иллюстрация к книге — Интернет-журналистика. Как писать хорошие тексты, привлекать аудиторию и зарабатывать на этом [i_003.jpg]](img/book_covers/100/100924/i_003.jpg)